Выбор вида формул теории субрегулярных растворов
С.А.Храпко
Постановка задачи
Неотъемлемой частью автоматических систем управления и проектирования сталеплавильных процессов является термодинамическая модель прогноза распределения элементов в многокомпонентной многофазной системе металл-шлак-газ. Точность систем управления определяется исключительно точностью используемой модели. Создание и развитие таких моделей является актуальной задачей химической термодинамики.
Анализ публикаций по теме исследования
Теоретический фундамент таких моделей создан Гиббсом [1], математический аппарат также достаточно хорошо разработан [2], и благодаря резкому повышению производительности и доступности компьютерной техники с вычислительной точки зрения решение задачи расчета равновесия проблемы уже не составляет.
Единственным вопросом, остающимся вне сферы формальных термодинамических, математических и вычислительных методов, являются уравнения состояния рассматриваемых в равновесии фаз (в данном случае зависимость коэффициентов активности от состава и температуры). Из 3-х наиболее важных для сталеплавильных процессов фаз – металл, шлак и газ – наибольшую сложность представляет уравнение состояния шлаковой фазы. Газовая фаза не составляет трудностей, поскольку в области давлений, при которых осуществляются сталеплавильные процессы, газовая фаза является практически идеальной, а её атомный и молекулярный состав, а также константы равновесия между различными составляющими достаточно хорошо изучены [3,4]. Металлическая фаза при производстве массового сортамента сталей обычно также не вызывает проблем – суммарное содержание примесей не превышает 1-3 процентов (т.е. мы имеем дело практически с чистым железом), поэтому растворы можно считать разбавленными и обычного метода Вагнера 1-го порядка вполне достаточно для адекватного расчета коэффициентов активности компонентов [5].
Наибольшую сложность представляет собой описание шлаковых расплавов, поскольку во-первых, их состав изменяется в очень широких пределах, а во-вторых, по причине весьма существенной зависимости коэффициентов активности многих компонентов от химического состава шлака, особенно, от т.н. основности [6].
На нынешний момент предложено достаточно значительное количество различных моделей, отличающихся друг от друга сложностью, точностью и обеспеченностью численными значениями параметров [7].
К сожалению, значительная часть принципиально работоспособных моделей распадается на 2 большие группы. Модели первой группы описывают с высокой точностью тонкие эффекты взаимодействия в бинарных системах в широком интервале температур и составов, однако содержат множество подгоночных коэффициентов даже для бинарной системы [8]. Легко себе представить необходимое количество параметров при переходе хотя бы к системе из 6-8 компонентов, да и сам алгоритм учета многочастичных взаимодействий в этих моделях не всегда прозрачен.
Модели второй группы изначально разработаны для многокомпо-нентных систем, но они либо не обеспечены численными значениями па-раметров (например, квазихимическая теория [7]), либо имеют деклара-тивный характер и имеют низкую точность [9].
Удачным компромиссом, сочетающим в себе достаточную точность, общность и простоту, является теория субрегулярных ионных растворов (ТСРИР), развиваемая Г.Г. Михайловым с сотрудниками [10]. Несмотря на то, что многие исследователи считают теории регулярных (ТРР) и субрегулярных (ТСР) растворов внутренне противоречивыми (если есть взаимодействие компонентов, то энтропия смешения не может быть идеальной), в случае сталеплавильных процессов для описания активностей компонентов это не играет никакой роли. Дело в том, что при расчете зависимости активностей компонентов от состава при практически постоянной температуре нас совершенно не интересует, за счёт какого слагаемого в появляются отклонения от идеальности (энтальпийного или энтропийного), главное – это точность описания, которая может быть достигнута за счёт повышения степени ТСР. Наличие (или отсутствие) неидеальности энтропии смешения сказывается только при описании зависимости коэффициентов активности от температуры. Однако если учесть, что область температур в практическом сталеварении ограничена достаточно узким интервалом в 100oС (1580 + или - 50oС), то требуемая точность описания обеспечивается даже за счёт температурной зависимости коэффициентов активности, предсказываемой ТРР или ТКР (обратная зависимость
от Т).
ТСРИР [10] обеспечена численными значениями параметров для бинарных и тройных систем, включающих в себя следующие компоненты: FeO - MgO - CaO - Al2O3 - SiO2 - MnO - Cr2O3. Все параметры взаимно согласованы и рассчитаны исходя из наилучшего описания всех имеющихся фазовых диаграмм, их значения опубликованы в [11]. Обобщение модели на многокомпонентные системы формально не представляет сложности, однако необходимо отметить, что математическая статистика гарантирует работоспособность полученных формул и их коэффициентов только в области исследованного интервала изменения исходных данных. Другими словами, ТСРИР в виде формул [10] гарантировано работает в исследованных двойных и тройных системах, а при переходе к многокомпонентным системам (даже состоящих только из исследованных компонентов) мы уходим от интерполяции к экстраполяции, поэтому обоснованность такого шага нуждается в дополнительных доказательствах.
Формулировка целей статьи
В простейшей модели ТРР, учитываются только двухчастичные взаимодействия. В бинарной системе все очень просто:

Переход к многокомпонентной системе также не вызывает затруднений, поскольку рассматриваются только двухчастичные взаимодействия:

Как правило, в практических расчетах ТРР не обеспечивает требуемую точность аппроксимации экспериментальных данных. Естественным путем развития ТРР стало введение дополнительных параметров в модель, выразившееся в учете концентрационной зависимости величины
от состава и добавлении многочастичных взаимодействий.
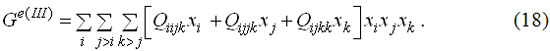
Для вычисления энергии смешения в многокомпонентном растворе формулы ТСР, в том числе и ТСРИР (отличие состоит только в способе вычисления концентраций компонентов) обычно записывают в виде, аналогичном ТРР:

где
– вклад двойной системы i-j в суммарную энергию смешения;
– вклад тройной системы i-j-k в энергию смешения.
Первое слагаемое – сумма двойных взаимодействий по всем бинарным системам, которые имеются в рассматриваемой многокомпонентной системе, второе слагаемое – то же самое, но для тройных систем. При необходимости, аналогичным образом можно учесть взаимодействия и в системах более высокого порядка (четверные системы и выше). Функции
и
– по сути, это теплоты смешения, как в ТРР, но с концентрационной зависимостью теплоты смешения от состава (в ТРР теплоты смешения являются постоянными и не зависящими от состава).
ТРР даёт симметричную зависимость
от состава фазы и не описывает многие бинарные системы, что и послужило причиной для появления ТСР. По сути, ТСР является некоторой «надстройкой» над ТРР, т.е. её более сложным вариантом с несимметричной зависимостью
от состава. Поскольку это более общая модель, чем ТРР, то она должна включать в себя «предшественника», т.е. ТРР. Другими словами, ТСР при определенных значениях своих параметров должна превращаться в ТРР и абсолютно полностью её воспроизводить.
Рассмотрим предлагаемые в литературе 3-х параметрические формулы для вкладов бинарных систем:
Г.Г. Михайлов (ТСРИР) [10]:

К. Люпис [7, с. 252-255]:

трехпараметрический аналог формулы Келлога [7]:

Предлагаемый в данной работе вариант формулы ТСР [11]:

Рассмотрим чистую двойную систему i-j, в которой
. В этом случае нетрудно показать (подставив
), что формулы (4) и (7) полностью идентичны друг другу по виду зависимости от состава системы и представляют собой квадратичную параболу (с тремя коэффициентами). Если известны коэффициенты для одной их формул, то параметры остальных легко вычисляются (см., например, [11]).
Принципиальное отличие формул проявляется лишь в том случае, если рассматривается не двухкомпонентная, а многокомпонентная система. Например, если какая-то бинарная система подчиняется регулярному поведению, то это соответствует таким значениям параметров и виду формул:

Все приведенные формулы абсолютно идентичны, если
, однако дают принципиально отличающиеся зависимости в многокомпонентной системе (когда
). Отличие формул очевидно: при разбавлении системы в многокомпонентной системе ее вклад в суммарную теплоту смешения зависит от вида используемых формул: в формулах (6) и (7) вклад падает пропорционально
, в формулах (5) пропорционально
, в формулах (4) – пропорционально
. Таким образом, при разбавлении в формулах (6) и (7) вклад сохраняется (и равен регулярному), а в формулах (5) и, особенно, (4) резко снижается. Другими словами, последние формулы не позволяют описать (даже в качестве частного случая) регулярное поведение в трех- и многокомпонентных растворах.
Это легко проиллюстрировать на примере гипотетической трехкомпонентной системы, в которой каждая бинарная система подчиняется регулярному поведению, а тройные взаимодействия отсутствуют:


тогда в точке
получим:

т.е. 45% от требуемого. Получается, что в ТСРИР для описания регулярной тройной системы необходимо ввести несуществующее тройное взаимодействие, которое по величине больше двойного вклада в 1,25 раза, при этом параметр тройного взаимодействия Q123 должен в 5 раз превышать параметры двойного взаимодействия Qij. Аналогичная ситуация наблюдается и с формулами Люписа, хотя и в меньшей степени (см. рис.1).
При увеличении разбавления (в многокомпонентных системах) ситуация становится вовсе катастрофической. Так, в четверной строго регулярной системе бинарные вклады в ТСРИР дают лишь 25% от требуемой величины, фиктивные тройные вклады добавляют ещё 31%, и необходимо вводить уже четверной вклад с параметром четырёхкомпонентного взаимодействия Q1234 в 7 раз превышающим двойные параметры Qij.
Нетрудно показать, что и в общем случае (нерегулярное поведение граничных двойных систем) у формул (4) и (5) остаются те же проблемы – резкое падение вклада двойных систем в суммарную теплоту смешения. Это приводит к необходимости учитывать тройные вклады, вводить существенно большие теплоты смешения в тройных системах, а, возможно, и к необходимости учета четверных взаимодействий и взаимодействий более высокого порядка.

Рисунок 1 – Расчет избыточной энергии Гиббса в тройной системе с регулярным поведением каждой двойной системы: а) – предлагаемая модель (совпадает с ТРР); б) – формулы Люписа; в) – ТСРИР. Справа изображено квазибинарное сечение при x2=x3.
На рис.2 приведены результаты расчета избыточной энергии Гиббса для реальной тройной системы MgO-CaO-SiO2.
Видно, что учёт только двойных взаимодействий в (4) и (5) даёт совершенно неадекватное описание в центральной области, в то время как формула (7) даёт результат, близкий к реальности даже без учёта тройного взаимодействия.
Физический смысл коэффициентов и выбор вида формул
В ТСРИР использованы только четверные взаимодействия (достаточно высокий порядок), но нет двойных и тройных. И то, и другое весьма маловероятно – присутствие четверных (одновременная «встреча» 4-х атомов) и отсутствие двойных и тройных.

Рисунок 2 – Расчет избыточной энергии Гиббса в тройной системе MgO-CaO-SiO2: (а-в) – с учетом только двухкомпонентных взаимодействий (а – формулы Люписа; б – ТСРИР; в – предлагаемая модель), г – с учетом трехкомпонентных взаимодействий (все формулы).
Ведь именно последние более вероятны при разбавлении, т.е. при рассмотрении многокомпонентных систем. Проблема состоит в том, что когда мы рассматриваем экспериментальные данные по чистой бинарной системе, то мы лишены возможности выяснить, как ведут себя компоненты при разбавлении в других компонентах. Т.е. тождество xi+xj=1 позволяет как угодно представить вид зависимости
от состава. Например, если по экспериментальным данным это прямая линия с конечными значениями H1 и H2 (в точках чистых компонентов), то мы можем её записать в виде
,
или
,
или
,
или
,
или
и т.д.
Другими словами, невозможно определенно сказать, что же именно образуется в бинарной системе: «квазисоединения»
и т.д. Нет объективных предпосылок, чтобы выбрать правильный вид зависимости, исходя из свойств только бинарной системы.
Дело в том, что даже в ТРР, являющейся нулевым приближением квазихимической теории (КХТ), в которой рассматриваются только двухчастичные взаимодействия, смысл параметра
не является однозначно теплотой образования соответствующего «квазисоединения» AB, поскольку в действительности представляет собой величину
(если рассматриваются только двухчастичные взаимодействия), где
- энергия химических связей i-j. Если рассматривать взаимодействия вплоть до 4-го порядка (ТСРИР), то энтальпию двухкомпонентного раствора необходимо записать в виде:

после чего вычислить энтальпию смешения стандартным образом:

где
– параметр «двухчастичного» взаимодействия,
– параметры «трёхчастичного» взаимодействия,
– параметры «четырёхчастичного» взаимодействия.
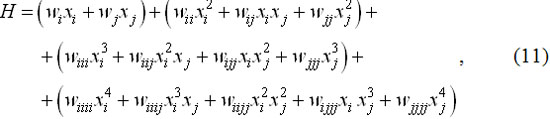
Уже из этих формул видно, что говорить о физическом смысле какого-либо параметра Q не имеет смысла – каждый из них несет информацию одновременно о нескольких взаимодействиях. Поэтому экспериментально определённые параметры ТСР могут иметь произвольный знак и никак не взаимосвязанные между собой величины. Получается, что в данном случае участвует 12 параметров (теплот) w, а экспериментально «видны» в формулах только 6 параметров Q, т.е. вычислить в принципе все 12 невозможно. Больше того, формула (12) может быть записана в виде:

Из (13) видно, что в бинарной системе (с учетом xi+xj=1) выражение в квадратных скобках имеет второй порядок относительно концентраций, т.е. дает для теплоты смешения квадратичную параболу, у которой всего 3 коэффициента, т.е. из экспериментальных данных по бинарным системам можно определить всего лишь 3 из 6 возможных параметров Q. Это приводит к появлению возможности неоднозначной трактовки формул ТСР – каждый исследователь может по-своему выбрать вид формул и записать используемый набор параметров. Больше того, возможность определить и описать свойства бинарной системы тремя параметрами из шести значимых параметров, приводит к ещё большему размыванию физического смысла коэффициентов, поскольку каждый из них несет в себе информацию (вклад) исключенных (отсутствующих) параметров. Например, в формулах ТСРИР (4) физический смысл коэффициентов следующий:

Получается, что фактически из экспериментальных данных по бинарным системам мы можем вычислить только определённые суммы нескольких параметров Q, однако не каждый в отдельности. Далее, исключив каким-либо образом «ненужные», можно получить любые приведенные выше варианты формул ТСР.
В формулах других авторов физический смысл коэффициентов иной, в зависимости от того, какие 3 из 6 параметров оставлены, а какие исключены. Если ограничится взаимодействиями вплоть до 4-го порядка включительно, то можно выделить следующие группы параметров:
- Qij – парное взаимодействие, симметричное.
- Qiij и Qijj – тройное взаимодействие, несимметричное.
- Qiijj – четверное взаимодействие, симметричное.
- Qiiij и Qijjj– четверное взаимодействие, несимметричное.
При выборе тех или иных параметров, включаемых в модель необходимо учесть, что во-первых, для выполнимости ТРР – однозначно должен быть параметр Qij(п. 1). Во-вторых, из соображений симметрии несимметричные параметры (п. 2 и 4) должны использоваться парами.
Для снижения числа параметров при сохранении симметрии можно использовать различного вида априорные взаимосвязи параметров. На-пример, в формулах Келлога принято, что
. Рассмотрение всех возможных комбинаций показывает, что для двухпараметрической ТСР альтернативы формулам Келлога нет. Остальные сочетания либо не дают выполнимости ТРР, либо не дают линейной зависимости теплоты смешения от состава в бинарной системе. Для трехпараметрической ТСР остается только формула (7), либо формула Келлога. Все остальные комбинации либо не дают для
полином второй степени в бинарной системе, либо повторяют формулу Келлога, либо не дают выполнимости ТРР. Принципиального отличия между (6) и (7) нет, хотя формулы (7) позволяют наглядным образом трактовать полученные значения параметров, а формулы Келлога – нет.
Поведение формул в многокомпонентных системах
Для выполнимости ТРР в каждой двойной системе при разбавлении (т.е. при
) теплота смешения должна стремиться к некоторому ненулевому значению, отвечающему именно за двухчастичное взаимодействие между компонентами i и j:

Выше было отмечено, что из данных по бинарным системам строго идентифицировать вклад, отвечающий именно за двухчастичное взаимо-действие невозможно, поэтому способ выбора значения Dij остается на совести исследователя. Логично предположить, что это можно сделать либо по имеющимся экспериментальным данным (по средней величине
в исследованном интервале составов, или по значению
в середине концентрационного интервала при xi=xj=1/2, или по величине
в разбавленном растворе), либо каким-либо другим способом.
Например, для формул Люписа получим:

Для формул ТСРИР получим:

Если подставить
, то получим формулы (7).
В случае трехкомпонентных вкладов все рассуждения аналогичны случаю двухкомпонентных вкладов.
Тройные взаимодействия в формулах ТСРИР имеют вид:

Ситуация аналогична двойным системам – при разбавлении вклад тройной системы уменьшается. Причина – в отсутствии в квадратных скобках свободного слагаемого (без концентрации, т.е. отвечающего за трёхчастичное взаимодействие i-j-k).
Для формулы (18) усреднение дает величину
, тогда «правильная» формула принимает вид:

где 
Окончательно получим следующий результат:

Продифференцировав (20), получим коэффициенты активности:

где в Z вынесены все слагаемые, в которых отсутствует индекс l:

Значения параметров
приведены в [11].
Выводы
Таким образом, предлагаемый подход при выборе вида формул ТСР позволяет более обосновано использовать модель в тройных и многокомпонентных системах, по которым нет (или имеется ограниченное число) экспериментальных данных.
Список литературы
- Гиббс, Дж. В. Термодинамика. Статистическая механика / Дж.В.Гиббс. – М.: Наука, 1982. – 584 с.
- Пономаренко, А.Г. Управление сталеплавильными процессами на основе современ-ных физико-химических представлений / А.Г. Пономаренко, П.И.Окоукони, С.А.Храпко, Е.Н.Иноземцева // Труды 4-го конгресса сталеплавильщиков (Москва, 7-10 октября 1996 г.) / ОАО «Черметинформация». – М., 1997. – С. 35-40.
- Термодинамические свойства индивидуальных веществ: справочник: в 8 книгах. Т. I–IV / под ред. В.П. Глушко. – М.: Наука, 1978–1982 гг.
- Моисеев, Г.К. Термодинамическое моделирование в высокотемпературных неорга-нических системах / Г.К.Моисеев, Н.А.Ватолин, Б.Г.Трусов. – М.: Металлургия, 1994. – 353 с.
- Храпко, С.А. Корректное использование параметров Вагнера при описании металлических растворов в широкой области составов. / С.А.Храпко, А.Г.Пономаренко // Изв. вузов. Черная металлургия. – 1991. – № 12. – С. 49-52.
- Храпко, С.А. О структурном вкладе в термодинамические функции растворов / С.А.Храпко //Теория и практика металлургии, 2004. – № 6. – С. 46-55.
- Люпис, К. Химическая термодинамика материалов: пер. с англ. / К. Люпис. – М.: Металлургия, 1989. – 503 с.: ил.
- Пригожин, И.Р. Молекулярная теория растворов / И.Р.Пригожин. – М.: Металлургия, 1990. – 360 с.
- Пономаренко, А.Г. Вопросы термодинамики фаз переменного состава, имеющих коллективную электронную систему / А.Г.Пономаренко // ЖФХ. – 1974. – Т.48, № 7. – С.1668-1674; № 8. – С.1950-1958.
- Михайлов, Г.Г. Термодинамический анализ процессов раскисления коррозионно-стойкой стали Х18Н10Т кальцием и барием / Г.Г.Михайлов, Л.А.Чернова // Известия ВУЗов. Черная металлургия. – 1991. – №12. – С. 37-40.
- Храпко, С.А. Анализ и сравнение формул субрегулярных растворов для многокомпонентных систем / С.А.Храпко // Металл и литье Украины.– 2006.– №3-4, С. 35-39.
Рецензент д.т.н., проф. А.А. Троянский
© С.А.Храпко
- ← Аналіз термодинамічної рівноваги в системі NI-CO-O-C-H стосовно технології металізації металооксидних техногенних відходів прецизійних сплавів типу НК
- Термодинамический анализ в системе NI-MO-O-C-H применительно к технологии металлизации металооксидных техногенных отходов прецизионных сплавов типа НМ →