Исследование возможности усиления лучистого теплообмена при импульсном отоплении высокотемпературных теплотехнических агрегатов
А.Б. Бирюков, В.В. Кравцов
УДК 662.9(083)
Проблема и её связь с научными и практическими задачами
Сегодня одной из самых актуальных задач промышленной теплотехники является сокращение расхода топлива при нагреве материалов. Одно из направлений решения этой задачи заключается в использовании технологий импульсного отопления агрегатов.
Анализ публикаций по теме исследования
В литературе есть множество сведений о различных технологиях импульсного отопления, позволяющих достигать экономию топлива. При этом на сегодня отсутствует стройное научное описание процессов, имеющих место при импульсном отоплении. Декларируемая экономия топлива от реализации этого мероприятия, согласно разным источникам, достигает, как правило, 5-15% [1-3].
Техническая сущность импульсного отопления заключается в колебательном изменении расхода топлива (и соответственно, воздуха) по определенному временному закону или на основании сигналов датчиков системы АСУ ТП о достижении граничных значений некоторых величин (давления, температуры и т.д.). Очевидно, что крайним случаем импульсного процесса является технология с полным периодическим отключением топлива и запиранием печи, которая включает в себя следующие элементы:
- периодическое включение подачи газа (и воздуха) на горелки (полупериод подачи топлива);
- периодическое отключение подачи топлива (и воздуха) и запирание печи дымовым клапаном (полупериод отключения топлива).
В полупериод подачи топлива происходит повышение температуры продуктов сгорания, заполняющих рабочую камеру, в полупериод запирания печи происходит нагрев материала за счёт теплосодержания продуктов сгорания, заполняющих рабочую камеру, что сопровождается снижением их температуры. Сигналом для переключения полупериодов может служить временная программа или установленные минимальное и максимальное значения температур.
Постановка проблемы исследования
Рассмотрение волнообразного характера изменения температуры продуктов сгорания, заполняющих камеру печи, приводит к гипотезе о возможности при прочих равных условиях усиления интенсивности лучистого теплообмена в камере печи. Ниже рассмотрена сущность такой гипотезы.
Основная часть
Пусть температура продуктов сгорания, заполняющих камеру печи, меняется по косинусоидальному закону:

где tср – средняя температура продуктов сгорания, покидающих рабочую камеру, oС;
t – амплитуда колебания температуры, oС; T – период колебания температуры продуктов сгорания, с.
При таком законе изменения температуры продуктов сгорания, её среднее значение за период нагрева будет равно tср:

Значение средневзвешенной за период нагрева величины коэффициента использования топлива и его расход будут определены значением средней расчетной температуры tсррасч, в определении которой учтена зависимость теплоемкости продуктов сгорания от температуры:

Среднее расчётное значение температуры продуктов сгорания незначительно превышает значение средней температуры продуктов сгорания, покидающих рабочую камеру tсррасч
tcр.
Однако при лучистом теплообмене темп передачи тепла к нагреваемым телам определяется не текущими значениями температуры, а величинами, пропорциональными их четвертым степеням. При волнообразном изменении температуры продуктов сгорания средний за период нагрева лучистый тепловой поток получается больше, чем тепловой поток, соответствующий нагреву при постоянной средней температуре продуктов сгорания:

Используя усреднённую типовую зависимость коэффициента лучистого теплообмена Сд от температуры (рис. 1) для значения tср 1100 oС получено отношение величин тепловых потоков при волновом генераторе температуры теплоносителя и отоплении при постоянной температуре tср в зависимости от амплитуды колебаний температуры
t (текущая температура поверхности нагреваемого металла для расчёта принята 10oС) - таблица 1.

Рисунок 1 - Зависимость приведенного коэффициента излучения системы тел газ-кладка-металл от температуры для реального высокотемпературного агрегата периодического действия.
Таблица 1.

Изложение материала и результаты
Ниже внимание сосредоточено на проверке выдвинутой гипотезы путем исследования данного вопроса на модели нагрева термически тонких тел и на модели нагрева реальных тел.
Модель нагрева термически тонких тел
Эта модель включает в себя два дифференциальных уравнения 1-го порядка. Первое описывает изменение температуры продуктов сгорания, заполняющих камеру печи, причем тепловой поток, падающий на поверхность материала, представлен как сумма двух составляющих: лучистой и конвективной, определяемых в каждый момент времени в зависимости от текущей температуры продуктов сгорания и температуры термически тонкого тела. Второе уравнение описывает нагрев термически тонкого тела цилиндрической формы.

где Спр – приведенный коэффициент излучения, для определения лучистого потока, падающего на поверхность термического тонкого тела в агрегате, Вт/(м2*К4); r0 – радиус термически тонкого тела, м; pт – плотность изучаемого тела, кг/м3; ст – удельная теплоемкость изучаемого тела, Дж/(кг*К).
Для решения этой системы дифференциальных уравнений была составлена соответствующая расчетная модель в пакете инженерных вычислений MathCAD [4].
Для решения поставленного вопроса был проведен ряд численных экспериментов для следующих исходных данных: топливо– природный газ с Qнр=35800 кДж/м3; r0 = 0,2 м; pт=7800кг/м3; ст= 500 Дж/(кг*К). Условное время нагрева составляло 1800 с, изначально выбранная для расчета температура продуктов сгорания, заполняющих камеру печи 1200oС; начальная температура материала – 0oС, тепловоспринимающая поверхность нагреваемого материала 94,25 м2. Значение коэффициента рекуперации принято 0,3 для импульсного и безимпульсного отопления. Поскольку в данном пункте исследуется лучистый теплообмен, значение коэффициента конвективной теплоотдачи принято равным нулю. Исследовалось два закона изменения расхода топлива:
косинусоидальный:

где Vбаз – базовая составляющая расхода топлива, м3/с; Vдобзад – заданная добавочная составляющая расхода топлива, м3/с;
– частота колебаний расхода топлива, с-1.
закон с добавочной составляющей типа «полностью включено»-«полностью отключено»:

Ниже систематизированы результаты численных экспериментов для ряда конкретных случаев косинусоидального закона изменения расхода топлива. Так, для базовой составляющей расхода топлива 0,45 м3/с, частоты колебаний 0,05 Гц и разных значений добавочной составляющей получена температура материала в конце нагрева (табл.2, рис. 2,).
Таблица 2.


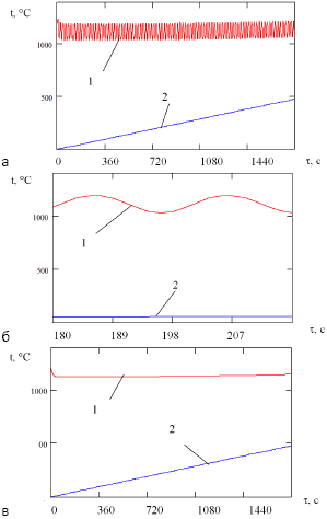
Рисунок 2 – Нагрев материала при косинусоидальном законе изменения расхода топлива (Vбаз=0,45 м3/с, Vдобзад=0,4 м3/с): а – период нагрева до 1800 с; б – более подробный фрагмент нагрева, в – сопоставляемый вариант безимпульсного нагрева при прочих равных условиях; 1 – температура газовой среды, 2 – температура материала
Исследования для закона изменения расхода топлива типа «включено-выключено» проводились для базовой составляющей расхода топлива 0,45 м3/с, частоты колебаний 0,05 Гц. Получены следующие значения температуры материала в конце нагрева для разных значений добаовчной составляющей расхода топлива (табл. 3, рис. 3)
Таблица 3.


Рисунок 3 – Нагрев материала при законе изменения расхода топлива «включено-выключено» (Vбаз=0,45 м3/с, Vдобзад=0,2 м3/с): а – период нагрева 1800с, б – более подробный фрагмент нагрева; 1 – температура газовой среды, 2 – температура материала
Анализ результатов численных экспериментов для двух законов импульсной подачи топлива и показателей, достигаемых при безимпульсном отоплении, позволили заключить следующее. Во всех рассмотренных случаях средний за период нагрева расход топлива составляет 0,45 м3/с, при одинаковом времени нагрева во всех рассматриваемых случаях выделяется одно и тоже количество тепла. Практически одинаковые значения конечных температур нагрева материала говорят об одинаковой интегральной интенсивности лучистого теплообмена во всех рассматриваемых технологиях отопления.
Природа некоторых отличий конечной температуры нагреваемого материала (незначительное падение температуры нагреваемого тела при росте амплитуды колебаний Vдобзад) носит чисто расчетный характер и объясняется особенностями аккумуляции тепла газовой средой, заполняющей камеру агрегата. При корректировке времени нагрева на величину, сопоставимую с периодом колебания, для больших импульсов получаем обратную ситуацию – некоторое незначительное превышение конечной температуры материала по сравнению со случаем безимпульсного отопления. В любом случае рост частоты и снижение величины добавочной составляющей расхода топлива, приводя к снижению амплитуды колебания температуры газовой среды в камере агрегата, определяют снижение отличий конечных температур материала, полученных по импульсной и безимпульсной технологиям нагрева.
Таким образом, исследования, проведенные при помощи модели нагрева термически тонкого тела, показали отсутствие лучистого «ускорения» теплообмена при волнообразном расходе топлива.
Модель нагрева реальных тел
Для исследования поставленного вопроса о росте интенсивности лучистого теплообмена при импульсном режиме нагрева реальных тел использована разработанная авторами универсальная математическая тепловой обработки с соответствующим набором граничных условий, базирующаяся на решении дифференциального уравнения нестационарной теплопроводности для внутренней задачи, снабженная дифференциальным уравнением первого порядка (аналогичным тому, что было использовано при исследовании нагрева термически тонкого тела), предназначенным для описания изменения температуры продуктов сгорания в камере печи.
Исходные данные. Топливо – природный газ с Qнр=35800 кДж/м3; радиус цилиндрической заготовки r=0,2 м; pт=7700кг/м3; зависимость теплоемкости материала нагреваемого тела от температуры
Дж/(кг*К); зависимость коэффициента теплопроводности от температуры
. Условное время нагрева составляло 1800 с. Поверхность материала 94,25 м2, свободный газовый объем камеры печи 250 м3. Теплопотери рабочей камеры приняты равными нулю. Значение коэффициента конвективной теплоотдачи принято 20 Вт/(м2*К) для всех рассматриваемых случаев.
Исследовалось два закона импульсной подачи топлива: косинусоидальный и закон «включено-выключено». Для обоих законов импульсной подачи топлива взята частота 0,05 Гц, базовая составляющая расхода топлива 0,45 м3/с, добавочная 0,2 м3/с.
В результате проведения численных экспериментов для случаев импульсного и безимпульсного отопления установлено, что конечная среднемассовая температура материала составляет:
- 496,29oС для импульсного косинусоидального закона (рис. 4);
- 497,28oС для импульсного закона «включено-отключено»;
- 499,66oС для безимпульсного отопления соответственно (рис. 5).

Рисунок 4 – Динамика нагрева изучаемого тела при импульсном нагреве по косинусоидальному закону: 1 – температура дыма, 2 – температура поверхности заготовки, 3 – температура центра заготовки
Таким образом, проведение численных экспериментов по нагреву реальных тел для разных вариантов нагрева при прочих равных условиях позволило получить практически одинаковую среднемассовую температуру материала в конце нагрева. Некоторые отличия носят чисто расчетный эффект.
То есть, для нагрева реальных тел можно сделать такой же вывод, как и в предыдущем пункте (для термически тонких тел) – эффект «ускорения» лучистого теплообмена, связанный с импульсной подачей топлива и волнообразным изменением температуры продуктов сгорания, заполняющих камеру печи, отсутствует.

Рисунок 5 – Динамика нагрева изучаемого тела в рассматриваемом численном эксперименте при безимпульсном нагреве: 1 – температура дыма, 2 – температура поверхности заготовки, 3 – температура центра заготовки
Зафиксированный факт отсутствия «ускорения» лучистого теплообмена может быть объяснен тем, что независимо от закона формирования импульсов подачи топлива характер изменения температуры отличается от косинусоидального (задействованного в гипотезе «ускорения» лучистого теплообмена). На практике имеем следующую ситуацию: при работе с включенной добавленной составляющей топлива температура по экспо-ненциальному закону устремляется к верхнему пределу, при отключенной добавочной составляющей – к нижнему пределу.
Выводы и перспективы дальнейших исследований
- Обоснована гипотеза о возможности усиления лучистого теплообмена в камерах высокотемпературных теплотехнических агрегатов при импульсном отоплении и волнообразном характере изменения температуры теплоносителя.
- При помощи модели нагрева термически тонкого тела и универсальной модели процессов тепловой обработки материалов вопрос об усилении лучистого теплообмена исследован для термически тонких и реальных тел.
- В обоих случаях для широкого набора параметров импульсов не зафиксировано усиление лучистого теплообмена, что позволило сделать вывод об отсутствии данного эффекта при импульсном отоплении агрегатов.
- Сделана попытка объяснения этого эффекта на основании экспоненциального характера изменения температуры теплоносителя, отличного от косинусоидального, задействованного в гипотезе.
- Таким образом, экономия топлива при импульсном отоплении, кроме случаев сокращения времени «пересиживания» материала в печи, вероятно, объясняется ростом значения коэффициента использования топлива при снижении температуры продуктов сгорания, покидающих агрегат, и сохранении темпа нагрева материала за счет усиления конвективной составляющей теплообмена.
СПИСОК ЛИТЕРАТУРЫ
- Ревун М.П. Новые схемы импульсного отопления нагревательных и термических печей / М.П. Ревун, А.И. Баришенко, А.И. Чепрасов [и др.] // Металлургическая и горнорудная промышленность. – 2005, №3. – C.97-100.
- Мороз В.И. Нагрев валков холодной прокатки и роликов МНЛЗ под термическую обработку в печи с импульсной подачей теплоносителя / В.И. Мороз, В.М. Егорова, С.В. Гусев // Кузнечно-штамповочное произвдство и обработка металоов давлением. – 2002,№8. – С.29-34.
- Неймарк Л.А., Гречишников Я.М., Энно И.К., Милосердов А.В., Белов М.Л. Сравнительные испытания импульсного и непрерывного отопления термической печи. / Л.А. Неймарк, Я.М. Гречишников, И.К. Энно [и др.] // Кузнечно-штамповочное проивзодство. – 1987, №9. – С.35-37.
- Кирьянов Д.В. Самоучитель MathCAD 2001. – СПб.: БХВ-Петербург, 2002. – 544с.
Надійшла до редакції 02.06.2011
Рецензент к.т.н., доц. В.В. Кочура
© А.Б. Бирюков, В.В. Кравцов