Влияние режимов термической обработки и дополнительного легирования азотом на структуру и свойства быстрорежущей стали в условиях стабилизации остаточного аустенита перед отпуском
В.П. Горбатенко, В.Г. Оноприенко, М.С. Бродина
УДК 669.14.018
Введение
Механические и эксплуатационные свойства быстрорежущих сталей определяются как составом, так и технологическими параметрами термической обработки инструмента. Высокая температура нагрева под закалку (1200…1300oС), которая в сталях с карбидным упрочнением возрастает с увеличением концентрации вольфрама и ванадия, необходима для наиболее полного растворения в аустените специальных карбидов М6С [1]. Однако, её предельный уровень ограничивается необходимостью сохранения мелкого аустенитного зерна. Для сталей типа Р6М5 обычно рекомендуют температуру нагрева под закалку 1200…1230oС [2]. Классическим отпуском для сталей с карбидным упрочнением считается трёхкратный отпуск при 550…570oС, при этом для стали Р6М5 считается достаточным и двукратный отпуск [1]. Дополнительное легирование быстрорежущих сталей азотом обеспечивает торможение роста аустенитного зерна при нагреве под закалку, возрастание эффекта вторичной твёрдости при отпуске, повышение износостойкости и теплостойкости, однако, прочность и вязкость сталей с содержанием азота более 0,04…0,05 % будут снижаться [1, 3]. Быстрорежущая сталь чувствительна к стабилизации остаточного аустенита: даже выдержка длительностью 15…20 мин перед обработкой холодом тормозит распад аустенита, а длительностью более 20 мин практически полностью его подавляет [1, 4]. Стабилизации быстрорежущих сталей способствует и выдержка 10…20 мин в интервале температур 400…200oС [5, 6] и даже в нижней области интервала перлитного превращения (400…500oС), что приводит к увеличению доли остаточного аустенита [6].
Цель работы
Целью настоящих исследований является изучение влияния дополнительного легирования азотом, а также температурных параметров нагрева под закалку и числа отпусков на процессы структурообразования и свойства вольфрамомолибденовой быстрорежущей стали в условиях ожидаемой стабилизации остаточного аустенита после закалки.
Основная часть
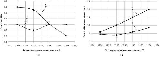
Объектом исследований были быстрорежущие стали марок Р6М5 (0,81 % С, 5,96 % W, 5,25 % Mo, 4,65 % Cr, 1,92 % V, 0,006 % N) и Р6АМ5 (0,80 % С, 5,80 % W, 5,00 % Mo, 4,30 % Cr, 1,57 % V, 0,070 % N). Образцы из обеих сталей нагревали под закалку в печи-ванне до температур в интервале 1200…1260oС, охлаждали в масле. С целью стабилизации остаточного аустенита образцы выдерживали в течение 6 месяцев. Одну группу образцов каждой стали изучали в закаленном состоянии, другую группу подвергали одно – двух – и трёхкратному отпуску длительностью 1 час (с охлаждением после каждого цикла на воздухе) при температуре 560±10oС. Образцы, подвергавшиеся закалке от разных температур с последующим 3–кратным отпуском подвергали испытаниям на теплостойкость по методу «холодной твёрдости» после выдержки при температуре 610…620oС длительностью от 1 до 4 часов и охлаждением на воздухе. Основными методами экспериментальных исследований являлись качественный и количественный металлографический анализ и измерение твёрдости. На рисунке 1 приведены результаты измерения твёрдости и количественной оценки размера аустенитного зерна в сравниваемых сталях в зависимости от температуры нагрева под закалку.
Если в стали Р6М5 твёрдость изменяется мало с повышением температуры нагрева под закалку, то в стали с азотом твёрдость закалённой стали существенно снизилась с повышением температуры нагрева выше 1220oС.

Рисунок 1 – Влияние температуры нагрева под закалку на твёрдость (а) и средний размер зерна аустенита (б) сталей Р6АМ5 (1) и Р6М5 (2)
При этом в случае закалки от 1200...1220oС твёрдость стали Р6АМ5 была существенно (на 3…3,5 ед. HRC) выше таковой у стали Р6М5. Однако, при более высоких температурах нагрева различия в твёрдости после закалки у сравниваемых сталей были меньшими (рис. 1, а).
Исходное зерно аустенита в стали Р6АМ5 при всех температурах нагрева под закалку было заметно более мелким в сравнении с таковым у стали Р6М5 (рис. 1, б) и проявляло значительно менее выраженную тенденцию к росту с повышением температуры: от № 13 при 1200°C до № 10-11 при 1260°C (в стали Р6М5 – от № 12 до № 8 соответственно).
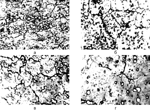
Металлографический анализ исследованных сталей (рис. 2) показал, что причиной более медленного роста зерна аустенита стали Р6АМ5 с повышением температуры нагрева можно считать сохранение в её структуре как крупных, так и весьма мелких карбидных частиц, в то время как в стали Р6М5 при высокой температуре нагрева наблюдали только крупные частицы карбидов.
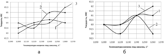
Данные, приведённые на рисунке 3, иллюстрируют эффект температуры нагрева на характер и степень влияния числа отпусков при 550…570°C на твёрдость исследованных сталей с учётом возможной стабилизации аустенита в связи с большой длительностью «вылёживания» образцов между операциями закалки и отпуска.
Анализ этих данных позволяет считать, что эффект стабилизации аустенита проявляется в стали Р6М5 и не проявляется в стали Р6АМ5, дополнительно легированной азотом.
В закалённой стали можно рассматривать три основных структурных фактора, определяющих её твёрдость: а) количество образовавшегося мартенсита, с повышением которого твёрдость будет возрастать; б) количество остаточного аустенита, с повышением которого твёрдость будет снижаться; в) количество карбидной фазы, сохранившейся при нагреве под закалку, увеличение которого должно приводить к росту твёрдости.

Рисунок 2 – Микроструктура сталей Р6АМ5 (а, б) и Р6М5 (в, г) после закалки от 1200°C (а, в) и 1260 (б, г); x1000.

Рисунок 3 – Влияние температуры нагрева под закалку на твёрдость сталей Р6АМ5 (а) и Р6М5 (б) после однократного (1), двукратного (2) и трёхкратного (3) отпуска.
Эффект упрочнения за счёт карбидной фазы будет возрастать и с увеличением степени дисперсности карбидов; количество (доля) таких карбидов будет снижаться с повышением температуры нагрева под закалку, но в пределах одной температуры нагрева этим фактором можно пренебречь. Однако, следует учитывать и возможный упрочняющий эффект при более полном растворении карбидов за счёт дополнительного легирования как мартенсита, так и остаточного аустенита. Для упрощения последующего обсуждения можно считать, что указанные выше противоположные эффекты в результате растворения карбидов взаимно компенсируют друг друга и изменение твёрдости закалённой стали определяется, прежде всего, соотношением мартенсита и остаточного аустенита.
В процессе отпуска твёрдость быстрорежущей стали будет определяться комплексным влиянием следующих основных факторов: а) распадом высоколегированного остаточного аустенита с выделением дисперсных карбидов в процессе выдержки при отпуске и образованием мартенсита при последующем охлаждении на воздухе, что обеспечит упрочнение стали; б) распадом первичного мартенсита при первом отпуске и вторичного мартенсита, образовавшегося в процессе предыдущего отпуска, в ходе последующей выдержки. Второй фактор может оказывать сложное влияние на прочностные характеристики стали в зависимости от соотношения вклада разупрочняющих и упрочняющих эффектов. Эффект упрочнения будет преобладать в случае более высокой степени легирования мартенсита и, соответственно, выделения при отпуске большего количества дисперсных включений карбидов. Однако, этот эффект может снижаться в результате развития процессов укрупнения карбидов, выделившихся на более ранней стадии распада мартенсита и остаточного аустенита.
Исходя из изложенных выше представлений, а также с учётом возможности стабилизации остаточного аустенита в результате длительной выдержки между этапами закалки и отпуска, будем анализировать характер изменения твёрдости исследованных сталей в зависимости от кратности отпусков в цикле термической обработки исследованных сталей.
В стали Р6М5 твёрдость после закалки изменяется мало (HRC 60-61) с повышением температуры нагрева под закалку (рис. 1, а). Это может свидетельствовать о том, что в процессе нагрева под закалку уже до 1200…1220°C в аустените растворяется значительное количество вторичных карбидов легирующих элементов, что способствует повышению его устойчивости при охлаждении в процессе закалки. Дальнейшее повышение температуры нагрева под закалку до 1240…1260°C не приводит к заметному изменению твёрдости, очевидно, вследствие конкурентного влияния увеличения доли более устойчивого аустенита и повышения твёрдости мартенсита вследствие некоторого увеличения степени легирования v - и
-фаз в связи с дополнительным растворением карбидов.
Первый цикл отпуска при 550…570°C приводит либо к небольшому снижению (температура нагрева под закалку Тз=1200…1220°C), либо к сохранению исходного уровня (Тз=1240…1260°C) твёрдости закалённой стали (рис. 1, а и 3, б). Очевидно, основной причиной этого является стабилизация остаточного аустенита. Реализация второго цикла отпуска также не приводит к повышению твёрдости стали в сравнении с её закалённым состоянием. Аналогичным образом влияет и третий цикл отпуска (рис. 3, б).
Исключение составляет отпуск в три цикла после закалки от наиболее высокой из реализованных температур – 1260°C, когда твёрдость стали Р6М5 повысилась (до HRC 62) в сравнении с закалённым состоянием. Однако, и в этом случае значения твёрдости стали оказываются лишь на нижнем пределе значений, характерных для этой стали (HRC 62-65). Следовательно, лишь увеличение температуры нагрева под закалку и числа отпусков может способствовать определённой дестабилизации остаточного аустенита стали Р6М5. Проявляется тенденция к некоторому повышению твёрдости с увеличением температуры нагрева под закалку до 1260°C в случае реализации трёхкратного отпуска и до 1240°C при одно- и двукратном отпуске при 550…570°C (рис. 3).
В стали же Р6АМ5, дополнительно легированной азотом, наблюдали ряд особенностей изменения структуры и свойств в зависимости от режимов закалки и отпуска в сравнении со сталью Р6М5. Прежде всего, закалка стали Р6АМ5 с нагревом до 1200…1220°C обеспечивала получение высокого уровня твёрдости – HRC 63,5…64, что может быть следствием прежде всего сохранения в структуре закалённой стали относительно небольшого количества остаточного аустенита. Причиной этого может быть пониженная степень легирования аустенита вследствие уменьшения доли вторичных карбидов, растворившихся в аустените при нагреве под закалку. При близости состава исследованных сталей по основным легирующим элементам и углероду причиной пониженной степени легирования аустенита при таком нагреве можно считать торможение растворения в нем специальных карбидов в связи с содержанием в них растворенного азота. Фактически вместо карбидов легирующих элементов в стали содержатся карбонитриды, которые, как известно, труднее и при более высоких температурах растворяются в аустените. Растворение таких частиц интенсифицируется при нагреве выше 1220°C (рис. 2, а, б), что приводит к заметному снижению твёрдости стали (рис. 1, а) вследствие, прежде всего, увеличения количества остаточного аустенита.
Отпуск стали Р6АМ5, закалённой от 1200°C, не приводит к повышению твёрдости в сравнении с исходным состоянием, в котором сталь и так имела весьма высокий её уровень (HRC 64). Однократный и трёхкратный отпуск даже приводили к небольшому (0.5…1 ед. HRC) снижению твёрдости в сравнении с закалённым состоянием. Это обусловлено тем, что из-за относительно небольшого количества остаточного аустенита основной вклад в изменение твёрдости вносит процесс распада мартенсита. В случае нагрева под закалку до 1220°C остаточного аустенита становится немного больше, что приводит к усилению вклада процессов его распада при отпуске и вызывает некоторое упрочнение стали после отпуска в сравнении с закалённым состоянием (рис. 3, а). Причём, максимум твёрдости (HRC 64) фиксировали после однократного отпуска. В ходе последующих отпусков, очевидно, превалирует влияние процессов отпуска мартенсита, что вызы-вает небольшое снижение твёрдости.
Эффективное упрочнение стали Р6АМ5 в результате отпуска имеет место в случае закалки от повышенных температур – 1240…1260oС (рис. 3, а), когда в результате более полного растворения карбидов повышается степень легирования аустенита и его устойчивость в процессе охлаждения при закалке. Уже первый отпуск приводит к значительному упрочнению стали в сравнении с закалённым состоянием, прежде всего, в результате распада остаточного аустенита. Рост твёрдости (до HRC 65) наблюдали и в результате двукратного отпуска. Однако трёхкратный отпуск вызвал снижение твердости до HRC 64. Следовательно, подтверждается известная в отношении сталей типа Р6М5 рекомендация относительно целесообразности проведения двукратного отпуска инструмента из них. Однако, в случае реализации закалки от 1260oС твёрдость стали Р6АМ5 возрастала с увеличением числа циклов отпуска, причём, наиболее сильно – в результате первого отпуска (рис. 3, а).
При реализации закалки с трёхкратным отпуском твёрдость стали Р6АМ5 возрастает с повышением температуры нагрева под закалку во всем ее интервале. В случае же реализации одно- и двукратного отпуска наблюдается тенденция к увеличению твёрдости с повышением температуры нагрева под закалку до 1240oС с последующим сохранением её уровня (двукратный отпуск), либо даже небольшим снижением твёрдости (однократный отпуск).
Основным отличием для сравниваемых марок сталей оказывается значительно более высокий уровень твёрдости в стали Р6АМ5 в сравнении со сталью Р6М5 после всех реализованных режимов закалки с отпуском (рис. 3). Основной причиной этого, очевидно, является дополнительное легирование стали Р6АМ5 азотом. Как отмечалось выше, азот, растворяясь в карбидах, может тормозить процессы растворения избыточной фазы в аустените, смещая их в область более высоких в сравнении со сталью Р6М5 температур. Однако, более существенное воздействие азота на процессы, происходящие при отпуске закалённой стали, проявляется за счёт устранения эффекта стабилизации остаточного аустенита, что впервые обнаружено в ходе настоящих исследований. Причины дестабилизирующего влияния дополнительного легирования вольфрамомолибденовых быстрорежущих сталей азотом пока не ясны и для их установления требуются дополнительные углублённые исследования.
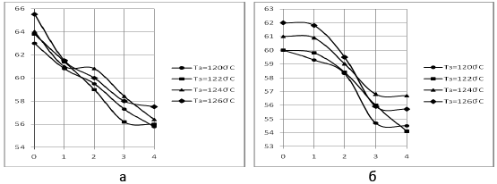
Одной из основных характеристик быстрорежущих сталей является их теплостойкость. На рисунке 4 приведены результаты, характеризующие изменение твёрдости изученных сталей в зависимости от температуры нагрева под закалку и длительности выдержки (1…4 часа) при температуре 610…620oС образцов, подвергавшихся предварительному трёхкратному отпуску при 550…570oС.

Рисунок 4 – Изменение твёрдости сталей Р6АМ5 (а) и Р6М5 (б) в зависимости от длительности выдержки при температуре 610…620oС и температуры нагрева под закалку (Тз).
Указанные температуры выдержки при оценке теплостойкости таких сталей являются предельными для работы сталей умеренной теплостойкости.
Анализ полученных данных позволяет считать, что сталь марки Р6М5 вследствие стабилизации остаточного аустенита снижает свою твёрдость до уровня ниже HRC 60 уже при выдержке при 610…620oС в течение 1 часа в случае закалки от 1200oС и в течение 2 часов – в случае закалки от температур 1240…1260oС (рис. 4, б). Сталь Р6АМ5 характеризуется более высокими показателями теплостойкости (рис. 4, а). Твёрдость не ниже HRC 60 сталь сохраняет в течение 1 часа выдержки независимо от температуры нагрева под закалку и в течение 2 часов – после закалки от повышенных температур. Пороговое значение твёрдости HRC 58 сталь, закалённая от 1200…1220oС, преодолевает после выдержки длительностью 3 часа, а закалённая от повышенных температур – после 4-часовой выдержки при 610…620oС. При этом даже после такой выдержки твёрдость стали Р6АМ5, закалённой от наиболее высокой температуры (1260oС) сохраняется на уровне HRC 57,5-58.
Выводы
Анализ полученных данных позволяет сделать основной вывод о том, что дополнительное легирование быстрорежущей стали типа Р6М5 азотом препятствует стабилизации остаточного аустенита после закалки даже в случае очень длительной ее выдержки перед отпуском, способствует существенному измельчению зерна аустенита при всех исследованных температурах нагрева (1200…1260oС), повышению твёрдости после отпуска с разным числом его циклов. Для повышения твёрдости и теплостойкости стали Р6АМ5 рекомендуется повышение температуры нагрева под закалку до 1240…1260oС. Для стали Р6М5 без дополнительного её легирования азотом длительная выдержка перед отпуском является недопустимой из-за стабилизации остаточного аустенита.
СПИСОК ЛИТЕРАТУРЫ
- Геллер Ю. А. Инструментальные стали. – М.: Металлургия, 1983. – 528с.
- Смольников Е.А. Термическая обработка инструментов в соляных ваннах. – М.: Машиностроение, 1981. – 272с.
- Королев М. Л. Влияние азота на структуру и свойства сталей карбидного класса // Азот как легирующий элемент в стали. – М.: Металлургиздат, 1961. – С.138-160.
- Попандопуло А.М. Термическая стабилизация и дестабилизация аустенита в вольфрамомолибденовых быстрорежущих сталях / А.М. Попандопуло, Л.Т. Жукова // МиТОМ. – 1984, №8. – С.28-30.
- Чаус А.С. Структура и свойства быстрорежущей стали Р6М5 / А.С. Чаус, Ф.И. Рудницкий // МиТОМ. – 2003, №12. – С.3-7.
- Чернобай С.П. Свойства инструмента из быстрорежущих сталей в зависимости от режимов изотермической закалки / С.П. Чернобай, А.Г. Прохоров // МиТОМ. – 2002, № 2. – С.11-12.
Надійшла до редакції 11.10.2011
Рецензент д.т.н., проф. Є.М. Смирнов
© В.П. Горбатенко, В.Г. Оноприенко, М.С. Бродина