Опыт создания расчетных коплексов для изучения нагрева и термообработки заготовки в печах
А.Б. Бирюков, В.В. Кравцов
Проблема и ее связь с научными и практическими задачами
Высокие технико-экономические показатели процессов нагрева и термообработки заготовок возможны только при их реализации на основании соответствующих расчетов, выполненных с высокой точностью. В связи с этим задача создания и совершенствования расчетных комплексов для изучения названных процессов является актуальной.
Анализ публикаций по теме исследования
Обзор особенностей использования как аналитических методик, так и математических моделей, в основе которых лежит дифференциальное уравнение нестационарной теплопроводности, для рассматриваемой задачи приведен в работе [1]. Показано, что применение метода математического моделирования позволяет получить более полную и точную информацию о температурном поле заготовок. Но при этом аналитический расчет проще в разработке, его алгоритм открыт и понятен для инженера-технолога, не имеющего специальной подготовки в области математического программирования, и может быть модернизирован без особых затруднений. В литературе имеются достаточно подробные сведения о аналитических методиках расчета нагрева и термообработки заготовок [2, 3]. Однако практически нет информации о подходах к расчету таких операций как выравнивание температурного поля заготовок после нагрева или охлаждения, которые встречаются в практике термообработки, а также, по мнению авторов, в дополнительной проработке нуждаются подходы к расчету охлаждения заготовок с печью и воздушного охлаждения.
Постановка проблемы исследования
Целью данной работы является создание универсального автономного комплекса при помощи стандартных математических пакетов для расчета процессов нагрева заготовок под прокатку и термообработки заготовок, базирующегося на известных аналитических подходах. Для этого необходимо решить следующие задачи:
- автоматическая интерполяция всех вспомогательных величин;
- создание универсальных модулей для расчета типовых операций (нагрев, охлаждение, выравнивание, остывание с печью);
- организация взаимодействия между расчетными модулями.
Изложение материала и результаты
Интерполяция вспомогательных величин проведена на основании предварительного анализа возможных диапазонов их изменения при решении конкретных задач. Перечень заданных величин и основные подходы к их интерполяции приведены в табл. 1.
В современных математических пакетах при создании интерполяционных функций пользователь задает вид зависимости, векторы исходных данных, в результате чего формируется виртуальная функция, выдающая значение искомой величины для заданного значения аргумента. При этом пользователю напрямую не выдается значение коэффициентов интерполяционной зависимости. В случае необходимости их можно найти, открыв вспомогательный вектор данных, автоматически сформированный при создании интерполяционной функции. Такой подход предоставляет некоторое удобство, так как, изменяя в записи интерполяционной подпрограммы только степень полинома, можно сравнить ряд зависимостей и выбрать наилучший вариант.
Создание стандартных расчетных модулей. Для создания универсального расчетного комплекса необходимо предусмотреть создание мо-дулей, описывающих тепловые параметры следующих операций:
- нагрев по режиму с постоянным тепловым потоком (q=const);
- нагрев по режиму с постоянной температурой печи (tпечь=const);
- комбинированный нагрев (I-ый период нагрев по режиму q=const, II-ой по режиму tпечь=const);
- выравнивание температур по сечению заготовки после нагрева (температура поверхности больше температуры центра);
- выравнивание температур по сечению заготовки после охлаждения (температура поверхности меньше температуры центра);
- охлаждение заготовок с печью;
- охлаждение заготовок воздухом.
При создании блока для расчета нагрева заготовок были использованы стандартные подходы [2, 3] с привлечением разработанных интерполяционных зависимостей.
Операция выравнивания температурного поля заготовок не выделяется отдельно на многих диаграммах термообработки. Так усреднение температурного поля после нагрева в некоторой мере можно достичь в течение операции нагрева за счет постепенного снижения величины греющего теплового потока [3].
Таблица 1 – Подходы к интерполяции вспомогательных величин

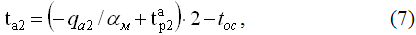
Использование операции выравнивания, предполагающей автоматическое поддержание температуры газовой среды в камере печи на уровне заданной расчетной температуры поверхности заготовки в течение периода выравнивания, позволяет более эффективно решать задачу усреднения температурного поля заготовок. Операция прекращается по достижении заданного остаточного перепада между поверхностью и центром заготовки.
Таким образом, определяем величины начальной и конечной плотностей теплового потока, которые необходимо подводить к поверхности заготовки:

где rз – радиус круглого расчетного сечения заготовки, м;
– температуры поверхности, центра заготовки и среднемассовая температура в начале периода выравнивания, oС; tsm2v – среднемассовая температура заготовки в конце периода выравнивания, oС;
– заданный остаточный перепад между центром и поверхностью заготовки в конце периода выравнивания, oС.
Далее определяется среднелогарифмическая плотность теплового потока

И на основании метода тепловой диаграммы определяем полное время обработки
, где k1– коэффициент материальной нагрузки.
Расход топлива на реализацию выравнивания после нагрева определяется на основании времени обработки и среднелогарифмической плотности теплового потока.
Расчет выравнивания после охлаждения проводится принципиально также как и в случае выравнивания после нагрева с той разницей, что тепло отводится от заготовки.
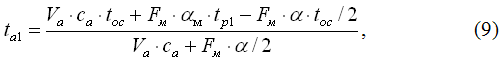
Для расчета охлаждения заготовок с печью предложено воспользоваться подходом, основанным на анализе всех термических сопротивлений на пути распространения тепла от поверхности заготовок к окружающей среде. Особенности теплообмена в камере запертой печи позволяют заключить, что итоговое термическое сопротивление лучистой и конвективной передаче тепла от заготовок к внутренней поверхности футеровки камеры печи значительно меньше сопротивлений распространению тепла теплопроводностью через футеровку и может быть исключено из рассмотрения. Учет этого соображения, а также низких значений отводимых тепловых потоков позволил для расчетной модели принять температуру поверхности заготовок равной температуре внутренней поверхности футеровки.
Таким образом, итоговый коэффициент теплопередачи вычисляется следующим образом:

где
– итоговый коэффициент теплоотдачи от наружной поверхности футеровки в окружающую среду, Вт/(м2*К); s1, s2 – толщины первого и второго слоев футеровки, м;
– коэффициенты теплопроводности первого и второго слоев футеровки соответственно, Вт/(м*К).
Тогда общее количество тепла, отводимое через футеровку печи в начале и конце периода остывания с печью, составит:

где Fкл –поверхность футеровки печи, м2; tp1ph tp2ph – температуры поверхности заготовок в начале и конце периода охлаждения с печью, oС; toc – температура окружающей среды, oС.
Плотность теплового потока, отводимого от поверхности заготовок в начале и конце периода, составит:

Далее при помощи зависимости типа (2) находим среднелогарифмическую плотность теплового потока, отводимого от поверхности заготовок, и с помощью метода тепловой диаграммы определяем время реализации операции, пренебрегая при этом в виду малого значения отводимых тепловых потоков температурным перепадом по толщине заготовки и принимая среднемассовую температуры равной температуре поверхности.
Для расчета процесса охлаждения заготовок воздухом авторами разработан следующий подход. Поскольку коэффициент теплоотдачи от поверхности заготовок к охлаждающему воздуху, как правило, достаточно условно принимается из диапазона реальных значений без использования конкретных критериальных зависимостей, которые соответствовали бы схеме загрузки заготовок, подачи воздуха и т.д., предложено выбранное значение коэффициента теплоотдачи относить к действующей температуре воздуха в печи, которая представляет собой среднее арифметическое от температур входа и выхода воздуха из печи.
Плотность теплового потока, отводимого от заготовок в конце периода воздушного охлаждения, определяется на основании заданного остаточного температурного перепада между поверхностью и центром:

где
– остаточный температурный перепад в конце операции, oС; tsm2a – среднемассовая температура заготовок в конце операции, oС.
Тогда температура воздуха, покидающего печь, в конце периода составит:

где
– коэффициент теплоотдачи от поверхности заготовок к охлаждающему воздуху, Вт/(м2*К); tp2a – температура поверхности заготовок в конце операции воздушного охлаждения, oС.
Расход воздуха для реализации операции определяется следующим образом:

где Fм – наружная поверхность заготовок, м2; ca – теплоемкость воздуха, Дж/(м3*К).
Тогда температура воздуха, покидающего печь в начале периода воздушного охлаждения, составит:

а плотность теплового потока, отводимого от поверхности заготовки в начале периода, составит:

Среднелогарифмическую плотность теплового потока находим при помощи зависимости типа (2), а полное время операции – на основании метода тепловой диаграммы.
В предложенной методике для расчета операции воздушного охлаждения, в отличие от работы [3], не учитывается охлаждение футеровки, что, по мнению авторов, вполне допустимо для современных камерных печей, у которых внутренний слой футеровки выполнен из керамоволокна, так как из-за малой массы нагретой части футеровки (по сравнению с массой заготовок) доля тепла, отводимого от нее воздушным охлаждением, во много раз меньше тепла, отводимого от металла.
Организация взаимодействия между расчетными модулями.
Для организации взаимодействия между расчетными модулями использован следующий принцип – данные о температурном поле, полученные в результате предыдущего расчета, являются исходными данными для последующего расчета. В качестве характеристик температурного поля используются три значения температуры: температура центра заготовок, поверхности и среднемассовая температура.

На основании предложенных подходов создан расчетный комплекс в математическом пакете MathCAD 2001i и его использование опробовано для условий ряда машиностроительных предприятий Украины, реализующих нагрев и термообработку массивных заготовок в печах камерного типа. В результате зафиксирована достаточная для инженерных расчетов точность и информативность.
Выводы и перспективы дальнейших исследований
Рассмотрено создание расчетных комплексов для изучения нагрева и термообработки заготовок в печах. При этом отработан подход для автоматической интерполяции вспомогательных величин, уточнен алгоритм расчета операций выравнивания температурного поля заготовок, охлаждения с печью и воздушного охлаждения. Предложен способ для организации взаимодействия между расчетными модулями.
СПИСОК ЛИТЕРАТУРЫ
- Бирюков А.Б. Совершенствование подходов к исследованию тепловых процессов нагрева и термообработки заготовок на основе метода математического моделирования / А.Б. Бирюков, В.В. Кравцов // Сб. научн. трудов ДонНТУ. – 2009. – Вып. 11(159). – С. 215-219.
- Тайц Н.Ю. Технология нагрева стали. – М.: Металлургия, 1962. - 568 с.
- Гусовский В.Л. Методики расчета нагревательных и термических печей: Учебно-справочное издание/ В.Л. Гусовский, А.Е. Лифшиц – М.: Теплотехник, 2004. – 400с.
Рецензент д.т.н., проф. А.Н. Смирнов
© А.Б. Бирюков, В.В. Кравцов