Оптимизация раскисления стали с использованием данных об активности растворенного кислорода
Фентисов И. Н., Шебаниц Э. Н., Коваль С.А., Стефанец А.В., Годынский А.А.ПАО «МК им. Ильича»Чичкарев Е.А.Приазовский государственный технический университетУДК 669.18
Металлургическая промышленность является одной из базовых отраслей экономики. В последние годы в ходе обострившейся конкуренции стремление снизить себестоимость металлопродукции путем экономии энергоресурсов, материалов, уменьшения продолжительности простоев, снижения отходов и повышения качества выходит на первый план в работе производственных предприятий и научно-исследовательских организаций.
Полуспокойная сталь характеризуется высоким выходом годного, относительно низкой степенью ликвации, как правило, простой технологией разливки и низкой стоимостью по сравнению со спокойной сталью.
При производстве полуспокойной стали, раскисляемой перед разливкой, необходимого снижения содержания кислорода достигают введением ферромарганца или силикомарганца в печь или в ковш. Требуемая структура слитка создается только при условии, что содержание кислорода в металле близко к оптимальному. Особенно сложным является обеспечить высокое качество слитков при содержании углерода в металле менее 0,12 % С.
Как известно, кислород, растворенный в стали, оказывает большое влияние на ход сталеплавильных процессов, качество готового металла, процессы раскисления и десульфурации, качество слитков [1-5]. Поэтому контроль за окисленностью стали и ее химическим составом в процессе ее производства крайне важен. В данной работе измерение активности кислорода в жидкой стали производилось посредством электрохимического датчика Celox. Действие датчика основано на работе высокотемпературной электрохимической гальванической ячейки с твердым электролитом из диоксида циркония. В качестве вторичного прибора использовался промышленный, программируемый, основанный на микрокомпьютере прибор Celox Multi-Lab.
На опытных плавках полуспокойной стали в большегрузных мартеновскиъх печах установлено (650 и 900 т), что окисленность металла после раскисления близка к равновесным значениям для условий комплексного раскисления кремнием и марганцем (либо марганцем для раскисления в ходе разливки). Результаты измерений для стали 3пс лежат в пределах 44,15…52,41 ppm при температуре 1565…1568 оС, для стали 1пс – 62,9 ppm (раскисление в ковше силикомарганцем и ферросилицием); для стали 2пс, раскисляемой алюминием во время разливки – 116 ppm.
Качество металла для обоих вариантов раскисления зависит от целого ряда факторов – технологии нагрева слитков, химического состава и температуры металла перед разливкой, температуры, расхода алюминия для плавок 2пс, раскисляемых алюминием и др. Например, для стали 2пс, выплавляемой по классической технологии, установлено, что отсортировка листового проката растет по мере увеличения отношений [Mn]/[Si] и [Mn]/[C], связанных с величиной окисленности металла перед выпуском.
Однако в настоящее время для производства листового проката широко используются низкокремнистые марки стали (с массовой долей кремния до 0,03 %), что обуславливает актуальность совершенствования технологии разливки полуспокойных низкокремнистых марок стали, раскисленных алюминием.
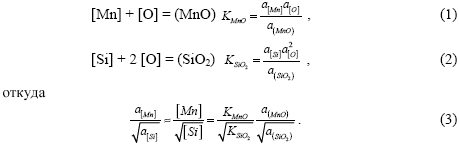
При комплексном раскислении стали кремнием и марганцем образуются силикаты марганца. В соответствии с диаграммой состояния шлаков MnO-SiO2 [6] при температуре 1550…1600 оС жидкие неметаллические включения содержат примерно от 25 % масс до 50 % масс. SiO2.
Комплексное раскисление стали кремнием и марганцем описывалось равновесиями:

В результате обработки диаграммы изоактивностей системы MnOSiO2 установлена следующая зависимость активности оксида марганца от соотношения массовых долей марганца и кремния в металле (рис. 1):

По найденной величине активности MnO рассчитывалась и активность кислорода в металле:

Сравнение результатов расчета активности кислорода, растворённого в металле, в зависимости от концентраций элементов-раскислителей, с экспериментальными данными представлено на рис. 2. Для полуспокойных сталей, раскисляемых ферросиликомарганцем в ковше, фактически измеренная окисленность вполне согласуется с результатами теоретического расчета.
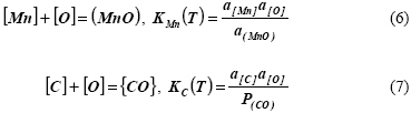
Однако при выплавке и разливке низкокремнистой полуспокойной стали существенное влияние на формирование корковой зоны слитка и усадочных полостей оказывает и раскисление марганцем и углеродом.
При выпуске в ковш и раскислении стали одним ферромарганцем (преимущественно кипящие марки стали) как углерод, так и марганец способны связывать растворенный в металле кислород по реакциям:

При температурах сталеплавильного производства в ковше обычно достигается соотношение констант равновесия KMn/KC = 4...8 , близкое к равновесному соотношению концентрация марганца и углерода в металле после раскисления. В соответствии с равновесиями (6)-(7) отношение концентраций марганца и углерода постоянно и зависит преимущественно от температуры

По мере снижения температуры существенно уменьшается константа равновесия окисления марганца, что ведёт к снижению массовой доли кислорода, растворенного в металле в равновесии с марганцем.

Рис.1 – Соотношение между активностями компонентов для шлаков системы MnO-SiO2

Рис. 2 – Сопоставление теоретических кривых изменения величины активности кислорода с и фактических данных
При выплавке полуспокойной низкокремнистой ([Si] < 0,03%) среднеуглеродистой стали (0,12-0,17% масс. углерода и свыше 0,4 % масс. марганца) в большегрузных мартеновских печах (900 т) раскисление стали производилось в ковше ферромарганцем и в ковше или изложницах гранулированным алюминием. Разливка производилась сверху в крупные слябинговые слитки (18,6 т). Установлено, что активность кислорода в печи близка к равновесной с углеродом, и при раскислении ферромарганцем в ковше снижается на 20-50 ppm.
Отсортировка готового проката по поверхностным дефектам сильно зависит от потенциала газообразования [C][O]ост, зависящего от массовой доли кислорода в металле после раскисления [O]ост и массовой доли углерода. Результаты статистического анализа влияния потенциала газообразования после раскисления в изложнице на уровень отсортировки тонколистового проката по поверхностным дефектам (преимущественно рваной кромке) представлены на рис. 3.
![Средняя отсортировка по группам плавок с различным потенциалом газообразования [C][O]ост](/conferences/2011/vnepecnaya/17/003.jpg)
Рис. 3 – Средняя отсортировка по группам плавок с различным потенциалом газообразования [C][O]ост
Как видно из рис. 3, минимальная отсортировка по поверхностным дефектам достигается при [C][O]ост не более 0,0005, что соответствует активности кислорода при температуре ликвидуса данной марки стали на уровне 20-30 ppm.
Данная оценка и результаты исследования структуры корковой зоны слитков и головной части слябовых заготовок позволила установить рациональный расход алюминия, который определяется массовой долей углерода в металле и активности растворенного кислорода.
При разливке низкоуглеродистой низкокремнистой стали с раскислением в изложницах установлено, что существенное влияние на уровень отсортировки по поверхностным дефектам оказывает и массовая доля марганца в металле (см. рис. 4).
Четко выраженная зависимость отсортировки по поверхностным дефектам, характерная для полуспокойного варианта низкоуглеродистой бескремнистой стали, слабее проявляется для сравнительного варианта (кипящей стали 08кп). Как видно из рис. 4, при выплавке низкоуглеродистой полуспокойной стали массовая доля марганца в должна быть не менее 0,35% масс, что позволяет существенно снизить отсортировку тонколистового проката по поверхностным дефектам.

Рис. 4 – Влияние массовой доли марганца в металле на отсортировку по поверхностным дефектам низкоуглеродистой кипящей (сравнительные, светлые квадраты) и полуспокойной стали (опытные, темные квадраты), раскисленной алюминием в изложнице
Существенное влияние на качество проката оказывает активность кислорода и массовая доля углерода в печи перед выпуском и массовая доля углерода в готовом металле. Установлено, что при выплавке низкоуглеродистой бескремнистой кипящей и полуспокойной стали, использование регулирования окисленности металла на выпуске из сталеплавильного агрегата позволяет увеличить степень усвоения марганца при ковшевом раскислении и стабилизировать качество крупных слябинговых слитков.
Выводы
- Проведены исследования изменения окисленности металла в мартеновской печи при выплавке различных марок стали, а также в ковше на плавках кипящей и полуспокойной стали, проанализированы факторы, влияющие на величину активности кислорода в сталеплавильном агрегате перед выпуском и в ковше.
- Предложен способ расчета активности кислорода в стали, раскисленной кремнием и марганцем.
- Установлено, что на качество листового проката из полуспокойной бескремнистой стали сильно влияет потенциал газообразования [C][O]ост.
- Установлено, что рациональный расход алюминия на раскисление в изложницах, который определяется массовой долей углерода в металле и активности растворенного кислорода, должен обеспечивать величину [C][O]ост < 0,0005.
- При выплавке низкоуглеродистой полуспокойной стали с раскислением алюминием в изложнице массовая доля марганца должна быть не менее 0,35% масс, что позволяет существенно снизить отсортировку тонколистового проката по поверхностным дефектам.
- Выполнена настройка Celox для определения содержания углерода в металле применительно к условиям выпуска низкоуглеродистых марок стали из мартеновской печи и кислородного конвертера. Показано, что использование Celox для контроля содержания углерода целесообразно для условий, когда величину окисленности определяет содержание углерода, т.е. выпуска из сталеплавильного агрегата.
Библиографический список:
- В.И.Явойский, В.П.Лузгин, А.Ф.Вишкарев. Окисленность стали и методы ее контроля. М. "Металлургия", 1970г., 288с.
- Ю.Гордеев, Г.Швецов, А.Репин, Новые технологии контроля параметров металлических расплавов. НВ-оборудование 2004, №9, 11-14с.
- Р.Маес. Применение "Celox" для оперативного контроля процесса в современносм производстве стали. Heraeu Electro-Nite, 2004г., 36 стр.
- Ярославцев Ю.Г., Серов А.И., Смоляков В.В. Выбор расхода алюминия для раскисления стали с учетом окисленности исходного металла // Черная металлургия. Бюл. Ин-та «Черметинформация». – 2007. - № 4. – С.50-54.
- Использование кислородных зондов для контроля окисленности и процесса раскисления малоуглеродистой стали // Свяжин А.Г., Рябов В.В., Романович А.Д. и др. – Сталь, 1996. - № 2 – С 26-28
- Атлас шлаков: Справ.изд. – М.: Металлургия, 1985. – 208 с.
© Фентисов И. Н., Шебаниц Э. Н., Коваль С.А., Стефанец А.В., Годынский А.А., Чичкарев Е.А., 2011