Исследование и оптимизация фракционного состава пылеугольного топлива, вдуваемого в горн доменных печей ПрАО «Донецксталь» - металлургический завод»
В.В. Кочура, С.Л. Ярошевский, В.В. Брага
УДК 669.162.2
Постановка задачи
Необходимость достижения высокой степени газификации частиц пылеугольного топлива (ПУТ) в фурменной зоне доменной печи требует их тонкого помола. Поэтому контроль качества измельчения угля является важной задачей.
Анализ публикаций по теме исследования
Эффективность технологии доменной плавки с использованием пылеугольного топлива определяется полнотой его сгорания. При неизменной температуре фурменной зоны режим горения пылеугольного топлива зависит от формы и размеров частиц угля, их пористости и порозности, а также их химического состава. Л. Богданди и Г. Энгель [1] считали целесообразным вдувать уголь размером до 3-6 мм, хотя указывали, что частицы более 1 мм вряд ли полностью сгорят в фурменном очаге.
Опыт освоения технологии пылевдувания с расходом ПУТ на 1 т чугуна 190-266 кг и кокса – до 300 кг при сохранении высокого уровня производства в современных доменных печах за рубежом свидетельствует о необходимости возможно наиболее полной газификации ПУТ в пределах фурменной зоны, что требует использования топлива в основном с крупностью частиц менее 0,1 мм [2-5].
Теоретические расчеты, выполненные различными авторами рекомендуют максимально допустимую величину помола угля от 35 до 100 мкм, а минимальную – от 0 до 50 мкм [6-9].
Практические данные работы доменных печей с вдуванием ПУТ свидетельствуют о достаточно тонком помоле угля – фракции 0-74 мкм вдувается 70-80% [10-13].
Целью статьи является исследование качества помола ПУТ, вдуваемого в горн доменных печей.
Основная часть
Пылеугольное топливо, вдуваемое в доменные печи, обычно характеризуется процентным содержанием какой-то определенной фракции или средним размером частиц.
Размер частиц угольной пыли существенным образом влияет на время ее сгорания в фурменной зоне доменной печи.
Наиболее распространенной методикой расчета времени горения угольных частиц является метод ВТИ [14]. Он базируется на эмпирических формулах, полученных для условий горения одиночных частиц, и заключается в определении протекания отдельных стадий процесса горения (их четыре - прогрев частиц до воспламенения летучих, выгорание летучих, прогрев коксового остатка до воспламенения и выгорание коксового остатка), значения которых затем суммируются.
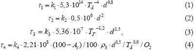
Ниже приведены обобщенные формулы для расчёта времени протекания этих стадий:

где
1,
2,
3,
4 - время прогрева частиц до воспламенения летучих, выгорания летучих, прогрев и выгорания коксового остатка соответственно, с; k1, k2, k3, k4 - опытные коэффициенты, зависящие от марки угля; Тг - температура окружающей среды, К; d - средний начальный размер частицы, м; Аc - зольность коксового остатка, м3/м3; О2 - объёмная концентрация кислорода, доли; pk - кажущаяся плотность коксового остатка, кг/м3.
На рис. 1 приведены результаты расчёта по вышеприведённой методике для трёх марок углей: антрацит (А), газовый (Г) и тощий (Т). Данные рис. 1 дают представление о влиянии размера частицы угля и технического анализа угля на продолжительность времени сгорания: с увеличением размера частиц время сгорания возрастает по экспоненте, при увеличении содержания углерода в угольной частице увеличивается ее время сгорания (время сгорания возрастает при переходе от марки угля «Г» к «Т» и «А»).
Основные требования к качеству углей для вдувания в доменную печь сводятся к следующему: низкая зольность (не более 10-12%); высокое содержание летучих (30-40 %); низкое содержание серы (не более 1 %); высокая температура плавления золы; тонкое измельчение; хорошая измельчаемость.

Рисунок 1 – Зависимость времени горения от размера угольных частиц.
Более 35% мирового потребления пылеугольного топлива приходится на доменные печи Японии, которые все оборудованы системами для вдувания ПУТ, и около 25 % - на доменные печи других стран Азии [15]. Увеличение расхода вдуваемого угля требует решения ряда технических и технологических проблем. Установлено, что превышение расхода ПУТ 200 кг/т сопровождается увеличением доли несгоревшего угля и снижением проницаемости коксового тотермана.
Необходимость достижения высокой степени сгорания угольных частиц в фурменной зоне доменной печи требует их тонкого помола.
Качество помола угля, вдуваемого в доменные печи в некоторых зарубежных странах, показано в табл. 1.
Таблица 1 – Помол ПУТ в мире

Для выбора и обоснования показателя, характеризующего помол пылеугольного топлива, были проведены аналитические и лабораторные исследования на примере пыли, приготовленной для вдувания в доменные печи ПрАО «Донецксталь» - МЗ».
В условиях завода качество помола оценивается по фракционному составу ПУТ по трём фракциям: 0-63 мкм, 63-80 мкм и более 80 мкм. Фракционный состав ПУТ может быть определён ситовым методом, а также с использованием автоматических микроанализаторов. На ПрАО «Донецксталь»- МЗ» с момента начала ввода в работу пылеугольного комплекса измерения проводились ситовым методом, а с 2005 года - микроанализатором «Analysette 22 COMPACT» немецкой фирмы Fritsch.
Микроанализатор позволяет определять зерновой состав угольной пыли, ее удельную поверхность и характерные размеры: средний геометрический, средний арифметический, средний медианный и другие.
Метод анализа основан на использовании дифракции лазерного луча. Частицы в параллельном лазерном потоке отражают свет под определённым углом, который зависит от диаметра частиц. Энергия распределения, измеренная датчиками, затем пересчитывается в распределение частиц по фракциям с помощью компьютера. Прибор рассчитан на измерение размера пыли в диапазоне 0,1 – 300 мкм. Объем пробы для измерения составляет 2 см3. Длительность измерения 10 с. Измерение проводиться мокрым способом (в дистиллированной воде с добавлением поверхностно-активных веществ).
Данные анализа помола на микроанализаторе представляют собой компьютерную распечатку полной зерновой характеристики угольной пыли в диапазоне от 0,5 мкм до 250 мкм в виде гистограммы (рис.2).

Рисунок 2 – Параметры качества помола ПУТ.
Из рисунка видно, что средний медианный размер частиц ПУТ составляет 30 мкм.
Данные по помолу угля, используемые технологами доменного цеха ПрАО «Донецксталь» - МЗ», представляют собой фракционный состав ПУТ в процентах по трём фракциям: 0-63 мкм, 63-80 мкм и более 80 мкм. Контроль качества помола выполняется ЦКЛ завода 3-4 раза в сутки.
На основании данных ЦКЛ были определены среднемесячные показатели помола угля. Сопоставлялись данные по двум параметрам R80 – весовому остатку на сите с размером ячеек 80 мкм и R63 – весовому остатку на сите с размером ячеек 63 мкм.
Выполнены аналитические расчеты зерновой характеристики пыли по методу Розина-Раммлера, определены параметры помола ПУТ: коэффициент полидисперсности, cредний медианный размер пыли.
В качестве закона распределения угольных частиц по фракциям принято уравнение Розина-Раммлера, описывающее распределение Вейбула [16]:

где Ri – полный остаток пыли на i – ом сите, %; Xi – размер ячейки i – го сита, мкм; b, n – опытные коэффициенты, характеризующие соответственно тонкость помола и равномерность зернового состава ПУТ.
Коэффициент n, называемый коэффициентом полидисперсности или показателем равномерности структуры пыли, зависит от типа оборудования для помола и вида угля.
Показатели n и b могут быть определены из уравнения 5 по результатам рассева ПУТ на двух ситах:

По найденным таким образом значениям n и b можно определить процентный остаток пыли на любого размера или построить полную зерновую характеристику пыли.
Из уравнения 5 остаток на любом сите R1 с размерами ячеек X1 можно выразить через известный остаток на сите R2 с размерами ячеек X2 следующим образом:

Комплексным показателем, однозначно характеризующим помол угольной пыли, является ее удельная поверхность, величину которой мож-но достаточно рассчитать

где F – удельная поверхность ПУТ, м2/кг; k – коэффициент, зависящий от размера ячеек сита (при Х=50 мкм, k =786; при Х=100 мкм, k =393); p – плотность ПУТ, т/м3; Rx – процентное содержание пыли на сите с размером отверстий X, %; X – размер отверстий на сите, мкм.
Из формулы 9 видно, что при одной и той же тонкости помола, характеризуемой остатком на сите Rx, удельная поверхность пыли уменьшается с увеличением коэффициента полидисперсности n, т.е. у более однородной по размеру пыли поверхность меньше (табл. 2).
Выполненный по уравнению Розина-Раммлера расчёт фракционного состава ПУТ по двум остаткам на ситах (R80 и R63) приведён в таблице 2.
Таблица 2 – Фракционный состав ПУТ на ПрАО «Донецксталь»-МЗ».

В таблице приведены среднемесячные характеристики помола ПУТ, используемого для вдувания в доменные печи ПрАО «Донецксталь»-МЗ» в различные периоды работы цеха, рассчитанные по двум остаткам на ситах.
ПУТ представлено тощим углём и смесью газового и тощего угля в соотношении 3:2.
На рис. 3 представлены зерновые характеристики, построенные по среднемесячным данным фракционного состава ПУТ, рассчитанные по методу Розина-Раммлера по двум остаткам на ситах и коэффициенту полидисперсности угля.

Рисунок 3 – Зерновые характеристики ПУТ.
Данные таблицы 2 и рис. 3 наглядно свидетельствуют о постоянстве помола при работе на ПУТ, приготовленном из смесей углей марок «Г» и «Т» (соотношении Г:Т=3:2) в 2009-2010 гг и угля марки "Т" вдуваемого в доменные печи в 2009г.
Таким образом, качество помола ПУТ, вдуваемого в доменные печи ЗАО «Донецксталь – МЗ», соответствуют мировым аналогам.
Так как горение угольных частиц в фурменной зоне доменной печи протекает в диффузионном режиме, увеличение реакционной поверхности приводит к повышению полноты сгорания угольной пыли [17].
Проведённые ранее дериватографические исследования по изучению влияния на скорость сгорания различных фракций пылеугольного топлива (+100, 100-63, 63-50 и 50-0 мкм), приготовленного из концентрата тощего угля показали, что изменение тонины помола ПУТ существенно влияет на его физико-химические свойства и характеристики процесса горения [18]. С уменьшением размера частиц растёт их внешняя поверхность и уменьшается время сгорания. Минимальное время сгорания соответствует фракции 50-0 мм, а максимальное время сгорания – фракции +100 мкм. Полидисперсное топливо сгорает быстрее, чем фракция 63-50 мкм, но медленнее, чем фракция 50-0 мкм. По результатам исследований установлено, что оптимальной для изучаемого ПУТ является фракция 50-100 мкм.
Из анализа зерновых характеристик следует, что при уменьшении остатков на сите R80 возрастает удельная поверхность, а, следовательно, и удельный расход энергии на производство пыли.
Переизмельчение угольной пыли не только увеличивает энергозатраты на помол, но и ухудшает ее транспортировку, так как мелкие частицы имеют склонность к слипанию. Поэтому для повышения производительности мельниц выгодно производить пыль грубого помола.
Однако с огрублением помола затрудняется сгорание пыли в окислительной зоне доменной печи, что влечёт за собой целый комплекс негативных явлений: снижается газопроницаемость столба шихты, увеличивается вязкость шлака, снижается коэффициент замены кокса углём и др.
Выполненные ранее исследования содержания углерода в доменном шлаке и колошниковой пыли, а также петрографические исследования шлака и колошниковой пыли при работе доменных печей с вдуванием и без вдувания ПУТ подтвердили практическое отсутствие прироста содержания в них углерода, в частности, в виде ПУТ, что свидетельствует о высокой степени газификации углерода ПУТ в горне при расходах ПУТ 90 - 130 кг/т чугуна [19].
Таким образом, качество помола ПУТ, вдуваемого в доменные печи ПрАО «Донецксталь – МЗ», соответствует мировым аналогам и обеспечивает его полное сгорание в фурменных зонах доменных печей.
Выводы
Средний размер частиц ПУТ и остаток на ситах не определяют однозначно качество помола. Необходимо учитывать также полидисперсность пыли.
Комплексным критерием помола угольной пыли является величина ее удельной поверхности.
При утончении помола угля пропорционально росту его удельной поверхности увеличиваются затраты на размол и ухудшаются условия транспортировки пыли из-за слипания мелких частиц.
Отрицательным следствием огрубления помола является рост недожога ПУТ в пределах фурменных зон.
Предложена аналитическая методика определения удельной поверхности ПУТ по двум остаткам на ситах.
Установлено, что фракция 50-100 мкм является оптимальной для условий сгорания угля в доменных печах ПрАО «Донецксталь» - МЗ».
СПИСОК ЛИТЕРАТУРЫ
- Богданди, Л. Восстановление железных руд / Л. Богданди, Г. Энгель. – М.: Металлургия, 1971. – 520 с.
- Савчук, Н.А. Доменное производство на рубеже ХХI века // Новости черной металлургии за рубежом. – 2000, Часть ІІ, Приложение 5. – М.: ОАО «Черметинформация». – 42 с.
- Renliang, Z. Characteristic of 200 kg/t HM PCI and low coke rate of BF in Baosteel / Z. Renliang, G. Kezhong // 59th Ironmaking conference proceedings. – Pittsburgh (USA). – 2000. – P. 321-326.
- Sahajwalla, V. Investigation of combustion behavior of a PCI coal and unburnt char carryover in a US Steel blast furnace// V. Sahajwalla, C. Kong, L. Lu, [et al.]// 60th Ironmaking Conference Proceeding. – Baltimore (USA).– 2001. – P. 451-458.
- Langer, K. Injection of pulverized coal at Thyssen Krupp Steel // Stahl and Eisen. –2005, No.11. – P. 591-594.
- Андронов, В.Н. Параметры определяющие помол пылеугольного топлива для доменных печей / В.Н. Андронов, А.И. Бабич, В.В. Кочура // Изв. Вузов. Черная металлургия. – 1991, №3. – С. 109.
- Мухин, П.Я. О поведении частицы пылеугольного топлива в горне печи / П.Я. Мухин // Интенсификация процессов доменной плавки и освоение печей большого объема. – М.: Металлургия, 1977.– С. 52-54.
- Андронов, В.Н. Расчетная оценка режима и полноты сгорания пылеугольного топлива в доменной печи/ В.Н.Андронов, В.В.Степанов, А.И. Бабич, В.В. Кочура // Технология выплавки чугуна. – М.: Металлургия, 1989. – С.39-42.
- Zhang, S. Theoretical consideration of problems relating to high coal rate injection into blast furnaces / S. Zhang, X. Bi // Ironmaking and Steelmaking. – 2003, v.30, No.6. – P.467-474.
- Lao, D. Fundamental aspects and industrial practice of high coal injection in the blast furnace within Usinor Sacilor group/ D.Lao, J.Eymond, C.Eibes, [et al.]// The first international congress on science and technology of ironmaking.– Sendai (Japan). – 1994. – P.517-522.
- Langer K. Injection of pulverized coal at Thyssen Krupp Steel// Stahl and Eisen. –2005, No.11. – P.591-594.
- Shen, F. Technology progress and strategy in blast furnace ironmaking in China / F. Shen, T. Yang, B. Gao // Steel Research International. – 2005, v.76, No.10. – P.676-682.
- Ярошевский, С.Л. Выплавка чугуна с применением пылеугольного топлива – М.: Металлургия, 1988. – 176с.
- Бабий, В.И. Горение угольной пыли и расчет пылеугольного факела / В.И. Бабий, Ю.Ф. Куваев. – М.: Энергоатомиздат, 1986. – 208с.
- Production and Technology of Iron and Steel in Japan during 2009 / The Technical Society, The Iron and Steel Institute of Japan // ISIJ International – 2010, v.50, No. 6. – P.777-796.
- Ромадин, В.П. Пылеприготовление. – М.–Л.: Госэнергоиздат, 1953. – 520с.
- Кочура, В.В. Интенсификация сжигания пылеугольного топлива в доменной плавке / В.В. Кочура, А.И. Бабич, А.М. Кузнецов //Металл и литье Украины.–2004, № 3–4. – С. 31-32.
- Бабич, А.И. Интенсификация использования пылеугольного топлива в доменной плавке / А.И. Бабич, С.Л. Ярошевский, В.П. Терещенко. – К.: Техника, 1993. – 200с.
- 19. Кочура, В.В. Определение степени сгорания пылеугольного топлива в доменной печи №2 ЗАО «Донецксталь» – металлургический завод» / В.В. Кочура, С.Л. Ярошевский, В.И. Купенко, В.Е. [и др.] // Наукові праці Донецького національного технічного університету. Серія: Металургія. Випуск 12 (177) – Донецьк: ТОВ «Цифрова типографія», 2010. – С. 56-65.
Надійшла до редакції 14.07.2011
Рецензент д.т.н., проф. М.О. Маняк
© Кочура В.В., Ярошевский С.Л., Брага В.В.