Об активности кислорода в газовой фазе металлургических систем
Е.Л. Корзун, А.Г. Пономаренко
УДК 669.014.61.787+536.777
Введение
Одним из важнейших вопросов термодинамического моделирования и теории металлургических систем является расчёт содержания кислорода в металлическом расплаве и его изменения по ходу металлургического процесса [1-3]. Для учёта влияния газовой фазы на концентрацию растворённого в металле кислорода оценивают её окислительные свойства. При этом поведение кислорода в различных фазах равновесной системы имеет диаметрально разный характер: идеальный в газовой фазе и неидеальный в металле и шлаке [1-6].
Анализ публикаций по теме исследования
Для анализа и расчёта равновесного состава газовой фазы металлургической системы ограничиваются применением модели идеальных газовых смесей [1-6] с использованием следующих параметров: температура и давление в системе, парциальное давление компонента и величина константы равновесия реакции в газовой фазе. Считается, что отклонения от идеальности при металлургических температурах в диапазоне давлений, наблюдаемых в агрегате, ниже десятых долей процента, что достаточно для точности прогнозных оценок. Если в состав атмосферы входит кислород, то при написании химических реакций и в дальнейших термодинамических расчётах всегда фигурирует двухатомный кислород О2 [4-7], так как «в пределах температур, характеризующих металлургические процессы, элементарный кислород является всегда двухатомным. Диссоциацией его на атомы, а также образованием озона (О3) при существующих условиях можно пренебречь» [8]. И только при температурах более 2500oС рекомендуется учитывать присутствие в газовой фазе заметных количеств атомарных частиц и радикалов [5].
В качестве параметра окислительных свойств кислородсодержащей газовой фазы металлургической системы предлагается окислительный потенциал П0 [4-6], определяющийся как

где R – универсальная газовая постоянная, Дж/моль*К; Т – температура, К; PO2 - парциальное давление двухатомного кислорода, Па.
Как видно из выражения (1) окислительные свойства газовой фазы определяются только содержанием двухатомного кислорода. Однако в восстановительных металлургических процессах и процессах раскисления равновесное парциальное давление двухатомного кислорода уменьшается на порядки (до величин ниже 10-4 Па) в сравнении с составом окислительной атмосферы агрегатов. В этом случае, согласно принципу Ле-Шателье – Брауна, в газовой фазе должно возрасти парциальное давление атомарного кислорода и его концентрацией пренебрегать нельзя. Тогда и оценивать кислородный потенциал газовой фазы только по значению парциального давления двухатомного кислорода нельзя. То есть, для восстановительных условий выражение (1) может быть неприменимо.
Формулировка целей статьи
Таким образом, задачами представленной статьи стали разработка методики расчёта термодинамических функций компонентов газовой фазы с уточнением оценки её окислительных свойств и способа учёта концентрации атомарного кислорода в газе на его поведение в металлургической системе.
Основная часть
Основные понятия
Компонентами (независимыми переменными) всех фаз гетерогенной системы считаются химические элементы Периодической системы. При этом все фазы высокотемпературной гетерогенной системы имеют качественно одинаковый состав: все элементы (компоненты) присутствуют во всех фазах. Такой выбор компонентов Гиббс назвал конечным (finite), а определённые таким образом компоненты – элементарными.
Стандартное состояние компонентов. Принимается единое стандартное состояние компонентов для всех фаз системы – гипотетическое состояние атомарного газа конечного компонента с давлением равным единице при температуре исследования. С учётом этого условием равновесия в системе вместо равенства химических потенциалов становится равенство активностей компонентов в сосуществующих фазах (см. напр. [9]):

Необходимо отметить, что предложенное стандартное состояние относится не к чистому веществу при давлении равном единице и заданной температуре, а к конечному компоненту – химическому элементу.
Переход к единому стандарту «автоматически» приводит к исключению (обращению в единицу) всех констант ЗДМ гетерогенных реакций и единственным эмпирически определяемым параметром становится коэффициент активности.
Химические потенциалы компонентов во всех фазах гетерогенной системы (включая газовую) выражаются через активности (по Льюису):
.
Концентрация конечного компонента в фазе xi определяется как отношение количества атомов выбранного компонента Ni к количеству атомов всех видов в этой фазе 

где k – количество конечных компонентов в фазе.
Активность конечного компонента ai это отношение парциального давления конечного компонента в газовой фазе равновесной системы Pi к парциальному давлению этого компонента в стандартном состоянии Psti:

Psti – произвольно выбираемая единица измерения давления. Предлагаемый вариант определения активности приводит нас к понятию абсолютной активности, численное значение которой может превышать единицу в отличие от применяемой сейчас относительной активности.
Активность кислорода в газовой фазе
Анализ активности кислорода в различных газовых металлургических системах производился путём расчёта равновесного состава фазы на основе использования термодинамических данных справочника [10, 11].
Чистый кислород (гомогенная система)
Один конечный компонент – химический элемент кислород – образует три устойчивых газовых соединения – атомарный кислород O, двух-атомный кислород O2, озон O3 и ряд ионов и электроны [12].
Общее давление газовой фазы POxsum рассчитывается как сумма парциальных давлений компонентов (пренебрегая парциальными давлениями ионов и электронов):

где PO, PO2, PO3 - парциальные давления атомарного, двухатомного кислорода и озона соответственно.
Концентрация конечного компонента в газовой фазе чистого кислорода будет постоянна и равна единице:

Если исходить из известного определения активности, то активность химически свободного кислорода равна отношению парциального давления атомарного кислорода к его же парциальному давлению в стандартном состоянии PstО = 1Па :

Задавая общее давление POxsum и температуру системы, и вычисляя значения констант диссоциации многоатомных молекул кислорода KO2 и KO3 (по данным [10]) определяем парциальное давление атомарного кислорода из уравнения:

Таким образом, при постоянной температуре парциальное давление атомарного кислорода (и его активность) зависит только от давления газовой фазы:

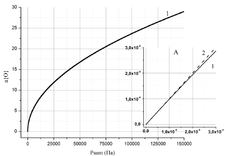
На рис. 1 приведены результаты расчета активности кислорода в чистом газообразном кислороде при температуре 1873К как функции общего давления в системе.
Расчётная кривая активности вблизи к точке начала координат превращается в прямую вида y=x (рис. 1 (А)). То есть, при стремлении давления в системе к нулю характеристики чистого кислорода приближаются к характеристикам идеального газа

При увеличении давления в системе наблюдаются отрицательные отклонения от поведения идеального газа, связанные с образованием молекул двухатомного кислорода и озона и соответствующей им энтальпией образования
HO2 и
HO3.

Рисунок 1 – Зависимость активности кислорода в чистом газообразном кислороде от общего давления при температуре 1873К: 1 – кривая расчётной зависимости; 2 – прямая, отображающая характеристику идеального газа; А – укрупнённый участок вблизи начала координат.
Система благородный газ – кислород (на примере системы He-O)
Газовая фаза состоит из двух конечных компонентов – гелия и кислорода, поэтому её характеристики будут определяться тремя параметрами: температурой, давлением в системе и составом (концентрацией конечных компонентов).
Общее давление газовой фазы PHe-Osum рассчитывается как сумма парциальных давлений компонентов:

Концентрация конечных компонентов определяется выражениями:

Активности конечных компонентов определяются по выражению (4) при PstJ = 1Па.Результаты расчёта представлены на рис. 2.

Рисунок 2 – Активность конечных компонентов в газовой фазе гелий – кислород при Т=1873К и Р=101325 Па: --- – прямые линии, отображающая поведение компонента как идеального газа.
Как видно из рисунка активность кислорода в двухкомпонентной газовой фазе существенно ниже прямой линии идеального газа, что объясняется способностью кислорода к образованию устойчивых многоатомных молекул.
Система Н-О
Как и в предыдущей системе в рассматриваемой два конечных компонента, при этом эти компоненты могут образовывать девять различных молекулярных форм - H, H2, O, O2, O3, OH, HO2, H2O, H2O2. Образованием ионов и электронов пренебрегаем ввиду малых их концентраций в сравнении с молекулярными формами.
Общее давление газовой фазы PH-Osum рассчитывается как сумма парциальных давлений компонентов:

Концентрация водорода и кислорода определялась как

Результаты расчёта активности компонентов в системе водород – кислород при температуре 1873К и давлении 101325 Па показаны на рис. 3.

Рисунок 3 – Активность компонентов в системе H-O при температуре 1873К и давлении 101325 Па.
Сравнивая результаты расчёта активности кислорода в системах Н-О и Не-О, видно, что на активность кислорода при малых концентрациях влияет его химическая активность с водородом, ведущая к образованию устойчивых соединений (рис. 4).
Большинство экспериментов по определению физико-химических особенностей раствора кислорода в жидком железе проводились с использованием газовой смеси водород – водяной пар, либо водород – водяной пар – инертный газ (аргон) [13-17]. Ввод инертного газа в систему водород – водяной пар без изменения давления газовой фазы равносилен снижению общего давления для исходной системы.
Поэтому мы проанализировали влияние изменения давления в газе на активность её компонентов. При этом рассматривали такое соотношение частиц водорода и кислорода в системе, которое соответствует граничным составам фаз в экспериментальных работах. Анализ результатов экспериментов, приведённых в работах [13-17], показал, что соотношение парциальных давлений водяного пара и водорода находилось в диапазоне от PH2O/PH2=0,006 [17] до PH2O/PH2=0,703 [16].

Рисунок 4 – Сравнение активности кислорода в системах Н-О и Не-О при 1873 К и давлении в системах 101325 Па.
Расчёт проводили так, чтобы выполнялось условие постоянства количества вещества конечных компонентов (или постоянства отношения NH/NO, где NH, NO - количество атомов водорода и кислорода в рассматриваемой системе). Результаты представлены на рис. 5 и рис. 6.

Рисунок 5 – Влияние изменения давления в системе Н-О на активность водорода при Т=1873К: 1 – массы компонентов системы обеспечивают соотношение PH2O/PH2=0,006; 2 – массы компонентов системы обеспечивают соотношение PH2O/PH2=0,703.

Рисунок 6 – Влияние изменения давления в системе Н-О на активность кислорода (Т=1873К).
Видно, что снижение давления в системе ведёт к уменьшению активности водорода (рис. 5) и небольшому увеличению активности кислорода (рис. 6). Таким образом, ввод в систему инертного газа при сохранении неизменного общего давления газовой фазы ведёт к снижению активности водорода при постоянстве активности кислорода, что может исказить интерпретацию результатов экспериментов по определению взаимодействия кислорода с жидким железом.
Ввод в состав рассматриваемой системы водород – кислород второй фазы – жидкого железа не меняет зависимость активности кислорода от концентрации в газовой фазе до момента полного окисления железа. Однако присутствие железа влияет на характер изменения активности кислорода при изменении давления в системе (рис. 7) и практически не влияет на характер изменения активности водорода (рис. 8).
Резкое снижение активности кислорода наблюдается в области, где общее давление становится равным давлению пара железа.
Таким образом, присутствие паров железа в системе водород – кислород вызывает снижение активности кислорода в сравнении с чистой системой Н-О. При снижении общего давления в системе Н-О-Fecond до уровня давления в промышленных вакууматорах (100 Па) активность кислорода остаётся практически постоянной.

Рисунок 7 – Влияние изменения давления в системе Н-О-Fecond на активность кислорода при 1873К.

Рисунок 8 – Влияние изменения давления в системе Н-О-Fecond на активность водорода при 1873К.
Система С-О
Система состоит из двух компонентов, однако в отличие от рассмотренных выше двухкомпонентных систем система углерод – кислород при металлургических температурах (1773-2173К) и концентрациях углерода выше 0,5 переходит из однофазной (газовая фаза) в двухфазную (в системе появляется конденсат углерода). Паровая фаза чистого углерода согласно данным [18] представлена пятью видами молекул – С, С2, С3, С4 и С5.
Общее давление газовой фазы PC-Osum рассчитывается как сумма парциальных давлений компонентов

Концентрация компонентов определялась как

На рис. 9 показаны результаты расчёта зависимости активности компонентов от концентрации.

Рисунок 9 – Зависимость активности компонентов от концентрации в газовой фазе системы углерод – кислород при Т=1873К и давлении 101325 Па: 1,2 – участки, соответствующие активности кислорода и углерода в системе СО-СО2.
Из рис. 9 видно, что при практически постоянной концентрации кислорода в системе x{O2} = 0,5 активность кислорода может меняться на 10 порядков. В промышленных условиях это приводит к тому, что незначительные изменения соотношения концентраций СО и СО2 в атмосфере агрегата могут вызывать изменения процесса от восстановительного к окислительному.
Влияние изменения общего давления в системе углерод – кислород на активность компонентов зависит от выбранного соотношения концентрации компонентов. Соотношения компонентов при этом подбирали такими, которые бы перекрывали весь диапазон изменений этой величины, наблюдаемой в экспериментах по изучению растворимости кислорода в жидком железе при равновесии в с газовой фазой системы СО-СО2, по изучению раствора углерода в жидком железе, по изучению процесса обезуглероживания расплавов на основе железа.
Выбраны для примера четыре варианта соотношения концентрации углерода и кислорода:
1 – газовая фаза, образованная из чистого СО взятого при комнатной температуры и нагретого до температуры эксперимента 1873К, соотношение компонентов при Т=1873К и Р=101325 Па x{C}/x{O} = 0,99995, что соответствует соотношению P{CO}/P{CO2} = 20055.
2 – газовая фаза, образованная из смеси СО и СО2 с соотношением P{CO}/P{CO2} = 4998 (соответствует условиям экспериментов работы [19]) при нагреве от комнатной температуры до температуры эксперимента 1873К, соотношение компонентов при Т=1873К и Р=101325 Па составляет x{C}/x{O} = 0,9998.
3 – газовая фаза, образованная из смеси СО и СО2 с соотношением P{CO}/P{CO2} = 801 (соответствует условиям экспериментов работы [20]) при нагреве от комнатной температуры до температуры эксперимента 1873К, соотношение компонентов при Т=1873К и Р=101325 Па x{C}/x{O} = 0,99876.
4 – газовая фаза, образованная из смеси СО и СО2 с соотношением P{CO}/P{CO2} = 1,6 (соответствует условиям экспериментов работы [20]) при нагреве от комнатной температуры до температуры эксперимента 1873К, соотношение компонентов при Т=1873К и Р=101325 Па x{C}/x{O} = 0,72361.
Как видно из результатов расчёта (рис. 10, 11) при снижении давления в системе, состоящей практически из СО (вариант 1) происходит снижение активности кислорода, в то время как активность углерода остаётся постоянной. Постоянство активности углерода объясняется наличием небольшого количества второй фазы в системе: твёрдого углерода. И только её исчезновение при малых давлениях в системе ведёт к незначительному снижению активности углерода.

Рисунок 10 – Влияние изменения давления на активность кислорода в системе углерод – кислород при Т=1873К (номера у кривых соответствуют варианту соотношения компонентов системы).

Рисунок 11 – Влияние изменения давления на активность углерода в системе углерод – кислород при Т=1873К (номера у кривых соответствуют варианту соотношения компонентов системы).
Введение в систему небольшого количества кислорода (даже в виде СО2) ведёт к тому, что при снижении давления в системе активность кислорода перестаёт изменяться – варианты 2 – 4, а активность углерода наоборот уменьшается.
Из практики вакуумного обезулероживания стали известно, что достижение низких концентраций углерода в расплаве возможно только при совмещении продувки кислородом и процесса вакуумирования (VOD, RH-OB). При этом содержание кислорода в расплаве практически не меняется.
Такая ассиметричная зависимость активности компонентов от давления в системе С-О в зависимости от соотношения компонентов обуславливает естественный барьер в одновременном достижении низких концентраций кислорода и углерода, растворённых в металле.
Ход кривой 1 на рис. 10 показывает, что в восстановительных условиях металлургического процесса (атмосфера – практически чистый СО) существует предел активности кислорода и соответствующий ему минимум содержания кислорода, растворённого в металле, что зафиксировано экспериментально в работе [19].
На результат исследования раскислительной способности углерода влияет не только давление в системе, а и соотношение концентрации углерода и кислорода в газовой фазе. Учитывая то, что изменение этого соотношения в довольно узких пределах (варианты 1 – 3) ведёт к получению различного характера изменения активности компонентов, можно сказать, что отсутствие эффективного и точного способа контролирования и поддержания такого соотношения в ходе эксперимента повлияло на заключение утверждения об ограниченной раскислительной способности углерода в условиях среднего и высокого вакуума [21].
Если рассмотреть зависимость активности кислорода от активности углерода (рис. 12), то можно отметить нелинейный характер этой зависимости в логарифмических координатах.

Рисунок 12 – Зависимость активности кислорода от активности углерода в системе углерод – кислород при давлении в системе 101325 Па и температуре 1873К: сплошная линия – участок, соответствующий всем комбинациям системы СО-СО2, штриховая линия – система С-О.
Особенно интересен участок, характеризующийся низкими значениями активности кислорода – здесь есть точка перегиба: в системе появляется вторая фаза. В пределах этого участка активность кислорода в системе меняется в широких пределах без изменения активности углерода, что может приводить к постоянству содержания углерода в металле при проведении экспериментов с расплавом железа, находящемуся в этих условиях.
Выводы
- Кислород в газовой фазе не является идеальным компонентом. Из-за образования молекулярных соединений, как между собой, так и с другими компонентами активность кислорода всегда ниже его концентрации. Кривая активности кислорода в газовой фазе лежит всегда ниже линии, характеризующей поведение идеального газа.
- При снижении активности кислорода в газовой фазе ниже a{O}=0,0001 поведение его приближается к поведению идеального компонента газовой смеси. В процессах чёрной металлургии активность кислорода в газовой фазе, за исключением продувки кислородом, находится всегда ниже указанной величины. Для равновесных гетерогенных систем с участием расплава железа или сплавов на его основе активность кислорода в газовой фазе ниже 0,0001 и поэтому поведение кислорода можно описывать как поведение идеального компонента газовой смеси.
- 3.Снижение давления в системе водород – кислород при температуре 1873К и соотношении парциальных давлений водяного пара и водорода в диапазоне от PH2O/PH2 = 0,006 до PH2O/PH2 = 0,703 ведёт к адекватному уменьшению активности водорода и небольшому увеличению активности кислорода. Аналогичное снижение давления в системе H-O-Fecond при тех же значениях соотношения парциальных давлений водяного пара и кислорода и той же температуре практически не влияет на характер изменения активности водорода. Активность кислорода в этой системе при снижении давления практически не изменяется, отмечается резкое снижение в области, где общее давление становится равным давлению пара железа.
- Ассиметричный характер зависимостей активности компонентов от давления в системе углерод – кислород в зависимости от соотношения компонентов обуславливает естественный барьер в одновременном достижении низких концентраций кислорода и углерода, растворённых в металле. На раскислительную способность углерода влияет не только давление в системе, а и соотношение концентрации углерода и кислорода в газовой фазе.
СПИСОК ЛИТЕРАТУРЫ
- Синярев Г.Б. Применение ЭВМ для термодинамических расчетов металлургических процессов / Г.Б. Синярев, Н.А. Ватолин, Б.Г. Трусов – М.: Наука, 1982. – 264с.
- Ватолин Н.А. Термодинамическое моделирование в высокотемпературных неорганических системах / Н.А. Ватолин, Г.К. Моисеев, Б.Г. Трусов – М.: Металлургия, 1994. – 352 с.
- Белов Г.В. Термодинамическое моделирование: методы, алгоритмы, программы – М.: Научный мир, 2002. – 184с.
- The Making, Shaping and Treating of Steel. Steelmaking and Refining Volume. – Association of Iron and Steel Engineers, 1998. – 790р.
- Теория металлургических процессов: учебник для вузов / Д.И. Рыжонков, П.П. Арсентьев, В.В. Яковлев и др. – М.: Металлургия, 1989. – 392с.
- Михайлов Г.Г. Термодинамика металлургических процессов и систем. / Г.Г. Михайлов, Б.И. Леонович, Ю.С. Кузнецов – М.: Изд. дом МИСиС, 2009. – 520с.
- Лакомский В.И. Взаимодействие диатомных газов с жидкими металлами при высоких температурах / В.И. Лакомский; Акад.наук УССР. Ин-т электросварки им. Е.О. Патона. – Киев: Наукова думка, 1992. – 232с.
- Шенк Г. Физикохимия металлургических процессов. Часть 1. Химико-металлургические реакции и их законы. Пер. с нем. под ред. Б.Л. Фрадкина – Харьков – Киев, ГосНТИУ, 1935. – 384с.
- Коган В.Б. Гетерогенные равновесия – М.: Химия, 1968. – 432с.
- Термодинамические свойства индивидуальных веществ. Справочное издание: В 4-х т. / Л.В. Гурвич, И.В. Вейц, В.А. Медведев [и др.] // 3-е изд., перераб. и расширен. Т. I. Кн. 2. – М.: Наука, 1978. – 328с.
- Термодинамические свойства индивидуальных веществ. Справочное издание: В 4-х т. / Л.В. Гурвич, И.В. Вейц, В.А. Медведев [и др.] // 3-е изд., перераб. и расширен. Т. II. Кн. 2. – М.: Наука, 1979. – 344с.
- Дриц М.Е. Свойства элементов: справ. изд в 2-х кн. Кн.2/ М.Е. Дриц, П.Б. Будберг, Н.Т. Кузнецов [и др.] / под ред. Дрица М.Е. – 2-е изд., перераб. и доп. – М.: Металлургия, ГУП "Журнал Цветные металлы", 1997. – 448с.
- Chipman J. Effect of Temperature upon Interaction of Gases with Liquid Steel / J. Chipman, A.M. Samarin // Transactions of AIME, Iron and Steel Division - 1937, vol. 125 – p. 331-351.
- Аверин В.В. Активность кислорода в жидком железе / В.В. Аверин, А.Ю. Поляков, А.М. Самарин // Известия АН СССР. Отделение технических наук – 1955, №3. – С.90-107.
- Gokcen A. Equilbria in Reactions of Hydrogen, and Carbon Monoxide with Dissolved Oxygen in Liquid Iron; Equilibrium in Reduction of Ferro Oxide with Hydrogen, and Solubility of Oxygen in Liquid Iron // Transactions AIME. Journal of Metals – 1956, vol.206, November – p.1558-1567.
- Sakao H. Equilibrium between Dissolved Oxygen in Liquid Iron and H2-H2O Gas Mixtures / H. Sakao, K. Sano // Transactions of the Japan Institute of Metals – 1960, vol.1, No 1 – p.38-42.
- Omori Y. Activity of Oxygen in Liquid Iron / Y.Omori, K.Suzuki, F.Aratani, K.Sanbongi // Bulletin of the Research Institute of Mineral Dressing and Metallurgy, Tohoku University – v.23(2), 1968 – p.115-127.
- Казенас Е.К. Термодинамика испарения оксидов / Е.К. Казенас, Ю.В. Цветков – М.: Издательство ЛКИ, 2008. – 480с.
- Завьялов О.В. Растворимость кислорода в высокоуглеродистых расплавах железа. / О.В. Завьялов, Ю.А. Карпов, Л.Б. Кузнецов [и др.] // Доклады АН СССР. Том 195 - №4, 1970. – С.900-902.
- Richardson F.D., Dennis W.E. Thermodynamic study of dilute solutions of carbon in molten Iron // Transactions of Faraday Society – v.49, 1953 – p.171-180.
- Линчевский Б.В. Термодинамика и кинетика взаимодействия газов с жидкими металлами. – М.: Металлургия, 1986. – 222с.
Надійшла до редакції 26.10.2011
Рецензент д.т.н., проф. М.О. Маняк
© Корзун Е.Л., Пономаренко А.Г.